熱線:021-66110810,66110819
手機:13564362870

熱線:021-66110810,66110819
手機:13564362870
External α carbonic anhydrase and solute carrier 4(SLC4)bicarbonate transporter are required for HCO3- uptake in a freshwater angiosperm
外部碳酸酐酶和溶質載體4(SLC4)碳酸氫鹽轉運蛋白是淡水被子植物中HCO3-吸收所必需的
來源: 預印本,未正式發表,無期刊信息
摘要:
摘要描述了淡水被子植物Ottelia alismoides的無機碳(Ci)獲取機制。研究表明,該植物具有主動CO2濃縮機制(CCM),能利用HCO3-作為碳源。通過抑制劑實驗(AZ和DIDS)和轉錄組分析,發現外部碳酸酐酶(aCA-1)和SLC4家族HCO3-轉運蛋白是HCO3-吸收的關鍵組成部分。這些機制在低CO2條件下保持組成性表達,支持植物在高pH環境中維持光合作用效率。最終提出一個模型,解釋CO2擴散、HCO3-轉化和轉運的協同作用。
研究目的:
研究目的是闡明淡水被子植物Ottelia alismoides中HCO3-吸收的分子和生理機制。具體包括驗證外部碳酸酐酶(CAext)和陰離子交換蛋白(SLC4家族)在HCO3-利用中的作用,并探究這些機制是否受CO2濃度調控。
研究思路:
研究思路基于多學科方法整合生理學、分子生物學和建模。首先,使用pH漂移技術評估HCO3-利用能力;其次,應用特異性抑制劑(AZ抑制CAext,DIDS抑制SLC4轉運蛋白)分析其對Ci吸收的影響;第三,通過轉錄組測序(SGS和TGS)鑒定aCA-1和SLC4基因的表達;最后,構建數學模型量化不同Ci獲取途徑的貢獻。所有實驗均在控制CO2濃度(高CO2和低CO2適應)條件下進行,確保機制分析的可靠性。
測量的數據及研究意義:
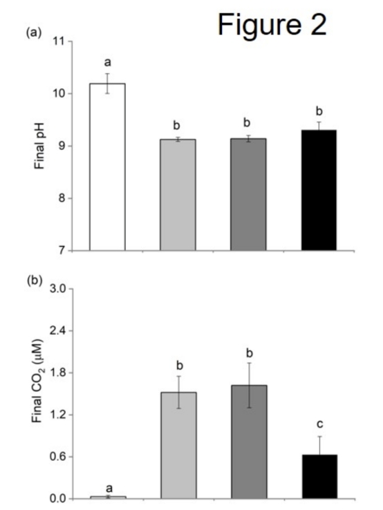
1. pH漂移終點和最終CO2濃度(來自圖1和圖2):測量漂移結束時的pH和CO2濃度,顯示抑制劑如何阻斷HCO3-利用。研究意義在于證實HCO3-吸收機制的存在,并量化其對環境碳耗盡的響應(圖2a,b)。





2. Ci吸收速率與CO2濃度的關系(來自圖3和圖4):在不同CO2水平下測量Ci吸收速率,分析抑制劑對斜率(αC)和CO2補償點的影響。研究意義在于區分被動CO2擴散與主動HCO3-轉運的貢獻,并揭示AZ和DIDS對碳獲取效率的抑制程度(圖3a,b)。




3. 外部CA活性和基因表達(來自圖5和圖6):通過酶活測定(REA)和轉錄組數據,比較高/低CO2適應葉片中aCA-1和SLC4的表達。研究意義在于確認這些機制的組成性(非誘導性),并關聯CA活性與Ci吸收速率的正相關性(圖5c,d)。




4. 碳獲取模型量化(來自圖7):基于實驗數據,計算CO2擴散、HCO3-轉化(aCA-1介導)和HCO3-轉運(SLC4介導)的貢獻比例。研究意義在于提供量化框架,解釋不同碳濃度下各機制的動態權重(圖7b)。


結論:
研究結論包括:1. O. alismoides的HCO3-吸收依賴外部CA(aCA-1)和SLC4轉運蛋白,兩者均為組成性表達,不受CO2濃度影響。2. AZ和DIDS分別抑制CAext和SLC4,完全阻斷HCO3-利用,證明兩者不可或缺。3. 在低CO2條件下,HCO3-轉化和轉運成為主要碳源,而被動CO2擴散在高CO2時占主導。4. 提出的模型顯示,CAext貢獻約64.4%(9μM CO2時),SLC4貢獻約11.5%,為淡水植物碳獲取策略提供新見解。
使用丹麥Unisense電極測量數據的研究意義:
在pH漂移實驗中,使用丹麥Unisense OX-13298電極實時監測氧氣濃度。該電極測量溶解氧濃度的變化(例如,控制組終點氧濃度達353μM,約137%空氣平衡水平),其研究意義在于:1. 確保實驗在非缺氧條件下進行,避免氧氣脅迫影響光合速率;2. 通過關聯氧積累與pH漂移,驗證光合活性與碳消耗的同步性,例如在高pH終點時低CO2與高氧的共存(圖1)表明高效CCM的運行;3. 在抑制劑實驗中,氧電極數據(如DIDS處理后氧濃度為232μM)幫助區分碳獲取抑制與潛在光呼吸效應,確保結果特異性。這些高精度測量支持了HCO3-利用機制與光合效率的直接關聯,提升了生理學數據的可靠性。