熱線:021-66110810,66110819
手機:13564362870

熱線:021-66110810,66110819
手機:13564362870
Rice acclimation to soil flooding: Low concentrations of organic acids can trigger a barrier to radial oxygen loss in roots
水稻對土壤淹水的適應:低濃度有機酸可觸發根部徑向氧損失屏障
來源:Plant, Cell & Environment, Volume 42, 2019, pages 2183-2197
《植物、細胞與環境》,第42卷,2019年,第2183-2197頁
摘要:
論文摘要指出,水淹土壤中含有厭氧微生物產生的單羧酸(有機酸),這些酸可以積累到植物毒性水平,并促進某些濕地物種根部徑向氧損失(ROL)屏障的發展。研究測試了低濃度有機酸(乙酸、丙酸、丁酸、己酸)是否能誘導水稻根部ROL屏障形成。每種有機酸單獨都能觸發屏障,但對根延伸影響小或無。一些與木栓質生物合成相關的基因轉錄增加。根部呼吸未受抑制或中度抑制。但超過一定濃度,呼吸指數下降。EC50值(半數抑制濃度)從低到高為丁酸、丙酸、乙酸、己酸。理解環境 cues 對ROL屏障誘導有助于分子調控研究。
研究目的:
研究目的是評估低濃度有機酸(非毒性或輕度毒性水平)是否能誘導水稻根部徑向氧損失屏障形成,并探討其分子機制,以揭示植物對水淹環境的適應策略。
研究思路:
研究采用多實驗設計:實驗1測量短期暴露于有機酸對根部呼吸的劑量響應;實驗2(主實驗)測試有機酸對根延伸、ROL屏障誘導、基因轉錄和根解剖的影響;實驗3驗證pH變化的影響。使用水稻品種Amaroo,在控制條件下生長,暴露于不同濃度有機酸(乙酸、丙酸、丁酸、己酸),濃度基于未解離形式(0.012-0.206 mM)。測量參數包括呼吸速率、根延伸、ROL模式、基因轉錄水平、根解剖結構等,通過統計分析和組織化學方法評估效應。
測量的數據及研究意義:
1. 根部呼吸速率對有機酸濃度的劑量響應:來自圖1。研究意義:確定有機酸的毒性閾值(EC50值),丁酸毒性最強(EC50=1.22 mM),己酸最弱(EC50=2.68 mM),為評估土壤中有機酸風險提供基準,并區分毒性濃度與潛在信號濃度。

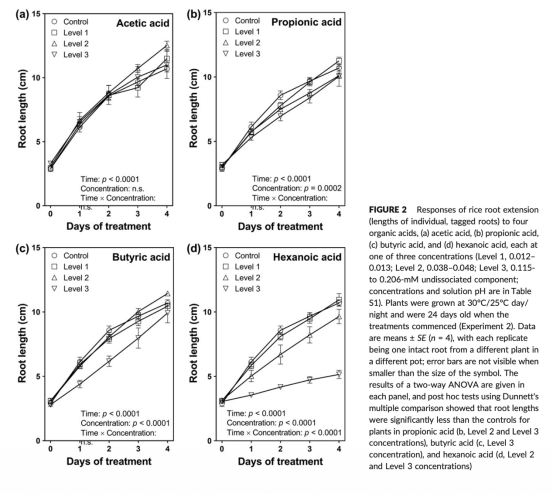
2. 根延伸速率:來自圖2。研究意義:低濃度有機酸(如乙酸和丁酸)對根延伸無影響,而丙酸和己酸在較高濃度下抑制延伸,表明有機酸類型特異性影響生長,避免組織年齡混淆,確保ROL屏障誘導是直接效應而非生長抑制后果。

3. 徑向氧損失(ROL)沿根部分布:來自圖3和4。研究意義:所有有機酸在低濃度(0.038-0.048 mM)下誘導ROL屏障,基部氧損失減少,而根尖無變化,證實屏障形成;此屏障促進氧氣向根尖縱向擴散,并可能阻擋土壤毒素進入,增強水淹耐受性。


4. 基因轉錄水平:來自圖5和6。研究意義:木栓質生物合成基因(如CYP86A11、CYP86B3)在丁酸和丙酸處理下上調,木質素基因在己酸處理下上調,提示有機酸通過調節細胞壁成分沉積觸發屏障,但響應因酸類型異質,揭示分子途徑多樣性。


5. 根解剖結構(木栓質和木質素染色):來自圖7和8。研究意義:組織化學顯示有機酸處理未明顯改變木栓質或木質沉積模式,表明屏障誘導可能涉及細微生化變化而非宏觀結構改變,與短期誘導一致,強調功能先于形態調整。


6. 根部氣體孔隙度。研究意義:有機酸處理不影響孔隙度,表明屏障誘導不依賴通氣組織變化,突出細胞壁修飾的主導作用,完善對水淹適應機制的理解。
結論:
研究表明,低濃度有機酸(0.038-0.048 mM)能觸發水稻根部徑向氧損失屏障形成,而不顯著抑制生長,其中乙酸和丁酸效應最強。屏障誘導涉及木栓質相關基因上調,但無顯著解剖變化,提示快速分子響應。有機酸作為環境信號分子,增強水稻對水淹的適應,為作物耐澇育種提供新靶點。
使用丹麥Unisense電極測量數據的研究意義:
研究中使用了丹麥Unisense電極的MicroResp系統測量根部O2消耗率(呼吸速率)。該電極提供高精度、實時O2濃度監測,能在控制條件下量化有機酸對根部代謝的直接影響。具體研究意義包括:首先,電極數據用于建立劑量響應曲線(圖1),精確測定EC50值,比較不同有機酸的相對毒性(丁酸毒性最強),為評估土壤中有機酸風險提供實驗基準;其次,呼吸測量顯示低濃度有機酸僅中度抑制呼吸(平均降至對照的78%),而屏障仍被誘導,證實有機酸的雙重角色(信號分子與毒素),避免毒性效應混淆屏障誘導機制;最后,Unisense電極的高靈敏度允許檢測細微代謝變化,支持有機酸作為水淹環境關鍵信號的假說,為后續分子研究提供可靠生理數據基礎。