熱線:021-66110810,66110819
手機:13564362870

熱線:021-66110810,66110819
手機:13564362870
Effects of artificial aeration and iron inputs on the transformation of carbon and phosphorus in a typical wetland soil
人工通氣與鐵輸入對典型濕地土壤中碳和磷轉化的影響
來源:Journal of Soils and Sediments, Volume 18, 2018, Pages 3244-3255
《土壤與沉積物雜志》,第18卷,2018年,第3244-3255頁
摘要
摘要闡述了本研究探討人工通氣和鐵輸入對濕地土壤中碳和磷轉化的影響。人工通氣改變土壤表面氧化還原條件,而鐵輸入在波動氧化還原條件下影響碳和磷循環。通過比較好氧和厭氧條件,研究發現鐵添加能影響磷形態和有機碳耦合,但這種效應依賴氧化還原條件。實驗設置不同Fe/P比(5或10)和溶解氧濃度(高>6 mg/L,低<2 mg/L),監測溶解氧、氧化還原電位及元素變化。結果表明,溶解氧濃度分層,隨土壤深度減少而隨時間增加;氧化還原電位波動升高。鐵結合磷占總磷45%,表明湖泊具有高內部磷負荷。鐵添加影響元素循環,但過量鐵可能導致環境風險如富營養化。
研究目的
研究目的是測試人工通氣和鐵輸入下濕地土壤中溶解氧、氧化還原電位、鐵氧化物、磷形態和碳組成的垂直變化,并分析鐵、磷、碳元素之間的關系。具體目標包括評估外源鐵輸入如何影響磷形態和碳轉化,以及氧化還原條件在其中的作用。
研究思路
研究思路包括進行室內模擬實驗,采集興凱湖濕地24個完整土壤核心,設置不同處理因素:Fe/P比(5或10)和溶解氧濃度(好氧>6 mg/L,厭氧<2 mg/L)。實驗分為四組(有植物好氧、有植物厭氧、無植物好氧、無植物厭氧),重復三次。使用丹麥Unisense微電極系統實時監測溶解氧和氧化還原電位的垂直變化(深度分辨率750微米),并在實驗后分析土壤表面(0-1厘米)的總磷、有機磷、無機磷、溶解性活性磷、土壤有機碳、總鐵、無定形鐵和游離鐵含量。通過統計和相關分析探討元素間關系。
測量的數據及研究意義
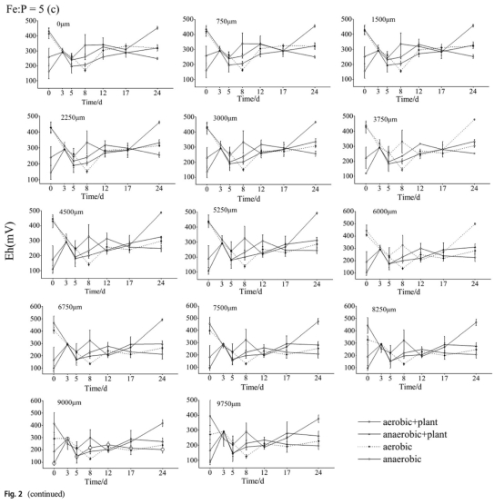
1 溶解氧濃度和氧化還原電位數據:來自圖2,顯示不同土層深度和時間的動態變化。研究意義是這些數據揭示人工通氣如何改變土壤微環境氧化還原條件,直接影響鐵和磷的轉化過程,如好氧條件促進磷沉淀。




2 磷形態數據:來自表2和表3,包括松散吸附磷、鋁結合磷、鐵結合磷、閉蓄態磷、鈣結合磷、溶解性活性磷、無機磷和有機磷含量。研究意義是鐵結合磷比例高(約45%)表明濕地內部磷負荷大,鐵添加在好氧條件下抑制磷釋放,為控制富營養化提供依據。


3 鐵含量數據:來自圖3,包括總鐵、無定形鐵和游離鐵含量。研究意義是鐵氧化物轉化影響磷吸附能力,無定形鐵與有機碳相關,表明鐵在碳穩定中的作用。

4 土壤有機碳數據:來自圖4,顯示不同處理下有機碳含量。研究意義是好氧條件下有機碳增加,表明鐵氧化物可能通過共沉淀穩定有機碳,增強濕地碳匯功能。

5 元素相關性數據:來自表4和表5,顯示鐵、磷、碳元素間的相關系數。研究意義是揭示元素耦合機制,如鐵與有機碳正相關,說明鐵輸入可能促進碳封存。


結論
1 人工通氣導致溶解氧濃度分層,隨深度減少而隨時間增加,氧化還原電位在好氧條件下波動升高,改變土壤氧化還原環境。
2 磷形態中鐵結合磷比例高,表明濕地存在高內部磷負荷,鐵添加在好氧條件下抑制磷釋放,但依賴氧化還原條件。
3 鐵和碳含量在好氧條件下增加,無定形鐵與有機碳相關,表明鐵氧化物可能穩定有機碳,但鐵輸入過量可能帶來環境風險。
4 鐵輸入需考慮與碳的關聯,大規模實驗是理解濕地元素行為的關鍵。
使用丹麥Unisense電極測量數據的研究意義
使用丹麥Unisense電極(如針型微電極)測量溶解氧和氧化還原電位數據具有重要研究意義。這些電極提供高分辨率(750微米)原位實時監測,能精確捕捉土壤水界面氧化還原條件的垂直梯度和動態變化(如圖2所示)。研究意義在于:首先,高精度數據允許量化人工通氣對微環境的即時影響,如溶解氧分層和氧化還原電位波動,直接關聯鐵和磷的轉化機制;其次,原位測量避免樣品擾動,真實反映濕地土壤中氧化還原敏感過程,如好氧條件下鐵磷共沉淀,為評估人工通氣效率提供可靠依據;最后,這種技術有助于理解元素循環的微觀驅動因素,支持濕地管理策略開發,如控制磷釋放和增強碳封存。