熱線:021-66110810,66110819
手機:13564362870

熱線:021-66110810,66110819
手機:13564362870
Modulation of cadmium-induced phytotoxicity in Cabomba caroliniana by urea involves photosynthetic metabolism and antioxidant status
尿素調節鎘誘導的卡羅萊納金魚藻植物毒性涉及光合代謝和抗氧化狀態
來源:Ecotoxicology and Environmental Safety, Volume 144, 2017, Pages 88-96
《生態毒理學與環境安全》,第144卷,2017年,88-96頁
摘要
摘要闡述了尿素作為廣泛有機污染物,在沉水植物卡羅萊納金魚藻中對鎘毒性的調節作用。高濃度尿素(400 mg L?1)和鎘(500 μmol L?1)對植物產生負面效應,導致毒性癥狀、色素系統損傷、葉綠素熒光和光合速率降低以及Rubisco活性下降。400 mg L?1尿素增強鎘毒性,表現為光合活性急劇下降。TBARS結果表明鎘或尿素誘導氧化應激,外源抗壞血酸(AsA)可緩解尿素損傷。較低尿素濃度(10 mg L?1)通過刺激葉綠素合成、光合活性和激活抗氧化酶(如CAT和GST)來緩解鎘毒性。
研究目的
研究目的是評估尿素和鎘對沉水植物卡羅萊納金魚藻的聯合效應,探討尿素如何調節鎘誘導的植物毒性,重點關注光合代謝和抗氧化狀態的變化,以理解植物在復合污染下的響應機制。
研究思路
研究思路包括使用卡羅萊納金魚藻,進行實驗室培養,設置不同處理:對照組、10 mg L?1尿素、400 mg L?1尿素、500 μmol L?1鎘、鎘+10 mg L?1尿素、鎘+400 mg L?1尿素以及400 mg L?1尿素+AsA預處理。暴露4天后,測量植物形態、鎘積累、光合色素、葉綠素熒光、光合速率、Rubisco活性、氧化應激指標(TBARS)和抗氧化酶活性(CAT、GST、SOD、POD)。數據通過統計方法分析,比較處理間差異。
測量的數據及研究意義
1. 植物外觀和形態變化:數據來自圖1和圖2,顯示高濃度尿素和鎘處理導致葉片褪色、脫落和細胞結構紊亂,而10 mg L?1尿素緩解鎘毒性。研究意義是直觀展示尿素和鎘的協同或拮抗效應,為毒性評估提供形態學證據。


2. 鎘積累量:數據來自圖3,顯示鎘處理下植物積累15 g kg?1鎘,10 mg L?1尿素降低鎘積累20.3%,400 mg L?1尿素增加46.7%。研究意義是表明尿素濃度影響鎘吸收,提示氮源可能改變金屬生物有效性。

3. 光合色素和光合參數:數據來自表1和圖4,包括葉綠素含量、 carotenoids、光合速率、Rubisco活性和葉綠素熒光(Fv/Fm、Yield、qP)。高濃度尿素和鎘降低色素和光合活性,10 mg L?1尿素改善這些參數。研究意義是揭示光合代謝作為毒性敏感指標,尿素通過氮供應調節光合效率。


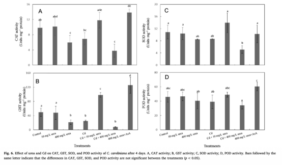
4. 氧化應激和抗氧化酶:數據來自圖5和圖6,包括TBARS含量和CAT、GST、SOD、POD活性。高濃度尿素和鎘增加TBARS,指示脂質過氧化,而10 mg L?1尿素激活抗氧化酶。研究意義是證實氧化應激為毒性機制,抗氧化防御系統在尿素調節鎘毒性中起關鍵作用。


結論
1. 尿素濃度依賴性地調節鎘毒性:10 mg L?1尿素緩解鎘毒性,通過增強葉綠素合成、光合活性和抗氧化酶活性;400 mg L?1尿素加劇鎘毒性,誘導氧化應激。
2. 光合代謝和抗氧化狀態是尿素調節鎘毒性的關鍵途徑:鎘抑制光合作用,尿素作為氮源可改善光合效率,抗氧化酶激活是耐受機制。
3. 外源AsA驗證氧化應激機制:AsA預處理減輕尿素損傷,證實高濃度尿素通過氧化應激導致毒性。
使用丹麥Unisense電極測量數據的研究意義
使用丹麥Unisense光學氧電極(OX-13298)和微傳感器萬用表測量凈光合氧釋放和呼吸氧吸收速率,數據體現在光合速率測量中(表1)。研究意義在于該電極提供高精度、實時氧氣濃度數據,使能量化植物光合和呼吸代謝效率。在本研究中,Unisense電極數據直接顯示鎘和尿素對光合速率的抑制或改善,例如鎘處理下光合速率降低37%,而10 mg L?1尿素處理下恢復至對照水平。這證實了光合作用作為毒性指示指標的重要性,并突顯Unisense電極在環境毒理學研究中的可靠性,可用于評估污染物對植物生理功能的微觀影響。此外,電極的高靈敏度允許檢測微小變化,支持統計顯著性分析,提升了研究結果的準確性。