熱線:021-66110810,66110819
手機:13564362870

熱線:021-66110810,66110819
手機:13564362870
Microscale measurements of oxygen concentration across the thickness of diffusion media in operating polymer electrolyte fuel cells
微尺度測量工作中的聚合物電解質燃料電池中介質擴散層的氧濃度
來源:Journal of Power Sources 306 (2016) 674-684
一、摘要概述
論文摘要指出,聚合物電解質燃料電池(PEFC)因陰極氧還原反應(ORR)需大量鉑催化劑而成本高昂,減少鉑用量的關鍵途徑之一是降低氧傳輸阻力以提高催化劑處的氧濃度。擴散介質(DM)作為異質多孔碳纖維基板(含梯度分布的添加劑),是氧傳輸的重要阻力源。本研究使用尖端直徑25μm的氧微傳感器(丹麥Unisense產品)結合微定位系統,在操作中的PEFC陰極DM厚度方向(空間分辨率20μm)原位測量氧濃度和液水存在情況。在無水條件下,DM貢獻了約60%的氧耗竭,其中60-70%源于靠近催化劑層(CL)的薄微孔層(MPL)。通過濃度梯度數據量化了DM內的非均勻局部傳輸阻力,并與高分辨率3D X射線計算機斷層掃描(微CT)表征的DM結構關聯,揭示了微觀結構對傳輸性能的影響。
二、研究目的
本研究旨在通過原位微尺度測量,精確量化PEFC陰極DM中的氧傳輸阻力分布,特別是異質結構(如碳纖維層和MPL)的局部貢獻。具體目標包括:
識別DM中氧濃度梯度的關鍵變化點,定位傳輸瓶頸區域。
評估不同操作條件(如電流密度、相對濕度RH)對氧傳輸和液水形成的影響。
將電化學測量與微觀結構數據(微CT)結合,建立傳輸阻力與DM形態的直接關聯,為優化DM設計(如降低鉑負載)提供實驗依據。
三、研究思路
研究采用多層方法結合電化學測量和微觀結構分析:
實驗設計:使用商業碳氈DM(SGL 10BC),在5 cm2 PEFC中構建膜電極組件(MEA)。陰極流場板修改,開設420μm通孔以供微傳感器插入。
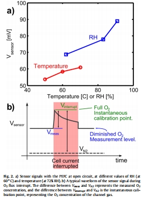
傳感器操作:通過微操縱器控制Unisense氧微傳感器(型號OX-25)以20μm步進沿DM厚度方向(z軸)移動,在預設位置測量氧濃度。采用“氧通量中斷”法:在恒定電流下測量傳感器信號(V_sensor),中斷電流5秒獲取通道氧濃度作為即時校準點(V_interrupt),結合無氧環境信號(V_N2)計算歸一化氧濃度(c_O2 = (V_meas - V_N2) / (V_interrupt - V_N2))。該方法抵消溫濕度變化對傳感器的干擾。
條件設置:在四種RH(62%、72%、83%、91%)和四種電流密度(0.5、1.0、1.5、1.8 A/cm2)下測量,確保微分電池行為(高氣流速2 SLPM)。每組RH使用新MEA,避免交叉影響。
微觀結構關聯:對同一DM樣品進行微CT掃描(體素大小1.5μm),分割為纖維、MPL/PTFE粘結劑和孔隙相,分析相分數分布(圖3c),識別DM四個區域:低孔隙纖維表層(z > 220μm)、高孔隙纖維核心區(120μm < z < 220μm)、纖維-MPL過渡區(50μm < z < 120μm)和MPL核心區(z < 50μm)。

數據分析:從氧濃度曲線計算局部形成因子(K_form = D_eff / D_O2/N2)和氧傳輸阻力(R_O2 = Δc_O2 / ?_O2),并與微CT結構參數對比。
四、測量數據及研究意義
以下列出關鍵測量數據,注明來源(圖或表),并以描述性列表形式解釋其研究意義。避免使用表格,僅引用文檔中出現的圖或表。
氧濃度分布(來自圖6)

數據:圖6顯示不同RH和電流下歸一化氧濃度(c_O2)沿DM厚度(z軸)的曲線。例如,在干態條件(62% RH)下,c_O2從通道(z ≈ 320μm)的1.0降至CL界面(z ≈ 20μm)的0.4(電流1.5 A/cm2時)。
研究意義:濃度梯度直接反映氧傳輸阻力分布。曲線在MPL區域(z < 100μm)陡降,表明MPL是主要阻力源。數據重復性好(不同RH曲線重疊),驗證DM結構主導傳輸,與操作條件無關。
液水出現位置(來自圖5和圖8)


數據:圖5b展示傳感器信號異常(劇烈波動)指示液水存在;圖8匯總不同RH和電流下液水起始z位置。例如,91% RH時液水遍布整個DM;83% RH時起始于高孔隙纖維核心區(z ≈ 150μm);72% RH時僅在高電流(1.8 A/cm2)下于MPL區出現。
研究意義:液水形成依賴RH和電流,高溫(≥83% RH)易導致 flooding。數據首次原位標定 flooding 位置,指導DM防水設計(如優化孔隙均勻性)。
形成因子(K_form)分布(來自圖7)

數據:圖7顯示K_form隨z位置變化。在碳纖維核心區(z ≈ 150–320μm),K_form ≈ 0.5;在MPL核心區(z < 50μm),K_form降至0.1–0.2。
研究意義:K_form低值區對應高傳輸阻力。MPL的K_form小源于納米孔隙中Knudsen擴散效應和高彎曲度。數據量化了各子區域對總阻力的貢獻,MPL占主導(約2/3)。
氧傳輸阻力(R_O2)總結(來自表1)

數據:表1列出干態平均K_form和R_O2。整個DM的R_O2為65 s/m;MPL區(z = 20–100μm)R_O2為4120 s/m;碳纖維區(z = 150–320μm)R_O2為20 s/m。
研究意義:MPL的R_O2比纖維區高兩個數量級,凸顯其作為傳輸瓶頸。數據為模型驗證提供基準,指導DM分層優化(如增強MPL透氣性)。
微觀結構相分數(來自圖3c)
數據:圖3c顯示孔隙率(孔隙相分數)沿z軸分布:纖維核心區孔隙率峰值0.79,MPL區近0(因納米孔隙未分辨),表層纖維區孔隙率最低(0.55)。
研究意義:孔隙率非均勻性解釋K_form變化(如表層低孔隙導致K_form降低)。微CT與電化學數據結合,證實結構-性能關聯。
五、結論
本研究得出以下結論:
傳輸阻力分布:DM貢獻總氧耗竭的60%,其中MPL占DM阻力的60–70%,是主要瓶頸。MPL的低K_form(0.1–0.2)源于Knudsen擴散和髙彎曲度。
液水影響規律:液水 flooding 起始依賴于RH和電流:高溫(91% RH)時遍布DM;中溫(83% RH)時始于高孔隙纖維核心區;低溫(≤72% RH)時僅高電流下在MPL出現。DM孔隙非均勻性(如核心區高孔隙)易成為液水聚集點。
技術優勢:25μm微傳感器實現原位微尺度測量,空間分辨率20μm,優于傳統方法(如鉆孔法)。氧通量中斷法有效抵消環境干擾。
設計啟示:優化DM需重點改善MPL傳輸屬性(如控制裂紋以管理水排出),并確保纖維層孔隙均勻性以減少 flooding 風險。
六、詳細解讀使用丹麥Unisense電極測量的數據的研究意義
丹麥Unisense氧微傳感器(型號OX-25)是本研究的核心工具,其測量數據的研究意義至關重要,主要體現在以下幾個方面:
1. 測量原理與技術優勢
原理:Unisense傳感器基于電化學安培法,尖端內嵌微型電解池,通過氧還原反應(ORR)的極限電流與氧濃度成正比關系輸出信號(mV)。傳感器含“守護陰極”設計,減少背景氧干擾。
技術優勢:
高空間分辨率:25μm尖端直徑小于DM纖維間距(約50μm),可侵入孔隙測量,最小化對微觀結構的擾動。
原位能力:在操作PEFC中實時測量,避免拆卸帶來的誤差。
動態校準:氧通量中斷法(圖2b)提供即時校準點(V_interrupt),抵消溫濕度漂移,保證數據準確性。此法創新性地將電流中斷與傳感器信號結合,解決了原位環境下的校準難題。

2. 數據意義與貢獻
氧濃度定量:通過公式 cO2=(Vmeas?VN2)/(Vinterrupt?VN2)計算的歸一化濃度(圖6),直接量化DM內氧梯度,這是首次在操作PEFC中以20μm分辨率獲得through-plane濃度分布。數據揭示了MPL的陡降梯度,挑戰了傳統均勻DM模型。
液水檢測機制:傳感器信號異常(圖5b)作為液水指示器——液水導致信號劇烈波動,因氧在液相擴散慢于氣相。此法無需成像即標定 flooding 位置(圖8),互補了CT或中子成像技術,且成本更低。
傳輸參數計算:濃度梯度斜率(dc/dz)用于計算形成因子K_form(圖7)和阻力R_O2(表1),提供了首套原位測量的局部傳輸屬性。例如,MPL的K_form=0.12與微CT孔隙率關聯,驗證了Knudsen修正因子(約0.52)的理論預測。
3. 對PEFC研究的推動
驗證模型與假設:數據為微觀傳輸模型(如孔隙網絡模型)提供關鍵驗證。例如,MPL阻力占主導支持了“MPL作為主要屏障”的假說。
指導DM設計:液水起始數據(圖8)表明高孔隙區易 flooding,提示需優化孔隙均勻性;MPL的髙阻力數據鼓勵開發高擴散性MPL材料。
方法學影響:本研究示范了微傳感器在多孔介質中的適用性,為后續研究(如其他燃料電池或電池系統)提供了模板。傳感器穿孔MPL后引發 flooding 的現象(72% RH實驗),意外揭示了MPL裂紋對水管理的雙重作用,為可控裂紋設計提供思路。
4. 局限性與改進
傳感器限制:尖端可能輕微擾動局部結構(如穿孔MPL),但通過重復實驗和干態驗證(62% RH)最小化影響。信號日間漂移需動態校準補償。
擴展應用:該技術可應用于其他層(如催化劑層)或氣體(如H?),但需傳感器適配。
總之,Unisense電極數據不僅是實現高分辨率測量的工具,更通過原位驗證將微觀結構與傳輸性能直接關聯,奠定了DM優化實驗基礎,推動了PEFC從經驗設計向定量工程的轉變。