熱線:021-66110810,66110819
手機:13564362870

熱線:021-66110810,66110819
手機:13564362870
Antioxidative and prooxidative effects in food lipids and synergism with α-tocopherol of a?aí seed extracts and grape rachis extracts
巴西莓籽提取物與葡萄穗軸提取物在食品脂質體系中的抗氧化與促氧化效應,及其與 α- 生育酚的協同作用
來源:Food Chemistry, Volume 213, 2016, Pages 440-449
《食品化學》第213卷,2016年,第440-449頁
摘要
摘要部分闡述了本研究評估了巴西莓籽和葡萄軸提取物單獨或與α-生育酚聯合使用時,在(i)大豆原油、(ii)大豆油脂質體和(iii)大豆油/水乳液中的抗氧化效果。使用57%乙醇水溶液制備的提取物中,葡萄軸提取物在大豆原油中顯示出不依賴濃度的抗氧化活性,而巴西莓籽提取物則呈現濃度依賴的促氧化活性。然而,兩種提取物均能保護脂質體懸浮液和油/水乳液免受脂質氧化。當提取物與α-生育酚結合時表現出協同效應,這可通過提取物成分在水相中的溶解度和α-生育酚在脂相中的溶解度來解釋。通過U-HPLC-ESI-LTQ-MS對提取物進行酚類物質分析以鑒定活性抗氧化劑。巴西莓籽和葡萄軸提取物是原花青素和黃烷-3-醇的良好來源,尤其在與α-生育酚結合時表現出高抗氧化活性,建議用于保護食品油/水乳液。
研究目的
研究目的是評估巴西莓籽和葡萄軸這兩種農業加工副產物提取物的抗氧化活性,并研究它們與α-生育酚在多種脂質體系(包括原油、脂質體和乳液中)的相互作用(協同、拮抗或相加效應),以探索這些天然提取物作為合成抗氧化劑替代品的潛力,用于防止富含脂質食品的氧化。
研究思路
研究思路是首先從巴西莓籽和葡萄軸中分別制備粗提物和純化提取物(使用Amberlite XAD-2樹脂)。然后通過三種體外實驗系統評估其抗氧化效果:1)利用電子自旋共振(ESR)光譜測量大豆原油中自由基形成的誘導期;2)通過脂質體過氧化測定中共軛二烯的形成來評估初級氧化產物;3)通過氧消耗測定來監測甲基亞油酸在油/水乳液中的過氧化速率。同時,使用高分辨率質譜(U-HPLC-ESI-LTQ-Orbitrap-MS)對提取物進行酚類物質分析。研究還考察了不同濃度提取物與α-生育酚組合的效果,并通過統計方法分析相互作用。
測量的數據及研究意義
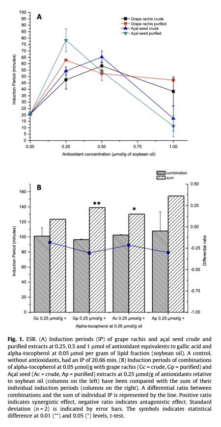
1 ESR自由基形成數據:來自圖1,測量了原油體系中自由基形成的誘導期(IP)。研究意義是顯示巴西莓籽提取物在高濃度下(1.0 μmol/g)表現出促氧化作用(IP降至11分鐘),而葡萄軸提取物活性與濃度無關,表明在疏水環境中高濃度多酚可能產生促氧化效應,這警示了在原油體系中使用天然抗氧化劑時需謹慎選擇濃度。

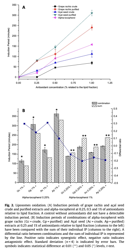
2 脂質體過氧化數據:來自圖2,測量了脂質體中共軛二烯形成的誘導期。研究意義是兩種提取物均能顯著延長誘導期(純化阿薩伊提取物在1%濃度下IP為310分鐘),且在提取物濃度高于α-生育酚時表現出協同效應,證明在模擬細胞膜的雙層脂質結構中,親水提取物與脂溶性α-生育酚分區作用,能有效抑制界面氧化。

3 氧消耗測定數據:來自圖3,測量了甲基亞油酸乳液中氧氣耗盡的時間(T0%)。研究意義是顯示在高濃度提取物與低濃度α-生育酚組合時(如7μM提取物與0.8μM α-生育酚)存在協同作用(T0%顯著延長),表明提取物在起始階段通過還原和螯合作用保護血紅素鐵和亞油酸,而α-生育酚在傳播階段作為鏈斷裂劑,兩者互補增強了乳液體系的氧化穩定性。

4 酚類物質含量數據:來自表1,測量了粗提和純化提取物的總酚含量(以沒食子酸當量計)。研究意義是純化后巴西莓籽和葡萄軸提取物的酚類含量分別升至618.20 mg/g和528.18 mg/g,證實純化步驟有效富集了活性成分,為觀察到的抗氧化活性提供了物質基礎,并表明這些副產物是酚類化合物的豐富來源。

5 酚類成分鑒定數據:來自表2和表3,通過HRMS鑒定了提取物中的具體化合物。研究意義是巴西莓籽提取物主要含原花青素二聚體(m/z 577)和兒茶素(m/z 289),葡萄軸提取物主要含原花青素二聚體和表兒茶素等,首次在巴西莓籽中報道了如白藜蘆醇等多種酚類物質,明確了起抗氧化作用的特定成分,并解釋了不同體系下活性差異的結構原因。



結論
1 巴西莓籽和葡萄軸提取物在異質脂質體系(脂質體、乳液)中表現出有效的抗氧化活性,但在疏水環境(原油)中,巴西莓籽提取物高濃度下可能產生促氧化作用。
2 提取物與α-生育酚的相互作用取決于相對濃度和體系特性:當酚類提取物濃度高于α-生育酚時,在脂質體和乳液中顯示出協同抗氧化效應;反之則可能產生拮抗作用。
3 提取物是原花青素、兒茶素等生物活性酚類的良好來源,純化后可顯著富集這些成分。結合α-生育酚使用時,這些農業副產物提取物可用于保護富含脂質的食品(如肉制品、乳液),作為合成抗氧化劑的天然替代品。
使用丹麥Unisense電極測量數據的研究意義
使用丹麥Unisense電極(具體為Unisense Picoammeter PA2000連接的克拉克型氧電極)測量的數據具有重要研究意義,主要體現在以下幾個方面:首先,該電極用于氧消耗測定實驗(見第2.8節),通過實時監測甲基亞油酸乳液中溶解氧的濃度變化(從空氣飽和的100%到0%的時間,即T0%),直接反映了脂質氧化反應的速率。如圖3所示,提取物和α-生育酚的加入延長了T0%,表明它們延緩了氧化進程。這種測量方法的高靈敏度和實時性使得能夠精確量化抗氧化劑在抑制由高鐵肌紅蛋白引發的氧化鏈式反應方面的效率。其次,通過比較不同濃度組合下的T0%數據(圖3-B),研究揭示了當巴西莓籽或葡萄軸提取物處于高濃度(7μM)而α-生育酚處于低濃度(0.8μM)時,存在顯著的協同抗氧化效應(正差異比),這歸因于提取物中的酚類化合物在乳液水相中充當初級抗氧化劑(通過還原和螯合機制抑制起始階段),而脂溶性的α-生育酚則在脂相中有效阻斷氧化傳播鏈,兩者通過可能的再生機制(如α-生育酚再生被氧化的酚類物質)實現了空間上的互補作用。Unisense電極提供的可靠數據驗證了這種分區協同機制,強調了在乳液體系中優化抗氧化劑組合和濃度比例的重要性。此外,該方法作為一種非侵入式的物理化學測量手段,避免了復雜的樣品前處理,結果直觀可靠,為在食品膠體體系中篩選和評估天然抗氧化劑提供了重要的技術支撐,并有助于理解多相體系中抗氧化劑的相互作用機理。其研究意義在于不僅證實了這些農業加工副產物提取物在食品乳液中的應用潛力,而且為開發基于協同效應的復合天然抗氧化劑配方提供了關鍵實驗依據。