熱線:021-66110810,66110819
手機:13564362870

熱線:021-66110810,66110819
手機:13564362870
Oxygen absorption by adventitious roots promotes the survival of completely submerged terrestrial plants
不定根吸收氧氣促進完全淹沒的陸生植物的生存
來源:Annals of Botany, Volume 118, 2016, Pages 675-683
《植物學年鑒》,第118卷,2016年,第675-683頁
摘要:
這篇論文的摘要討論了水生不定根在完全淹沒條件下吸收氧氣的功能。研究使用 Alternanthera philoxeroides 作為模型物種,通過測量水下氧氣梯度、節點氧氣濃度以及植物生長和生存指標,證明不定根能從水柱中吸收氧氣,并運輸到植物其他部分,從而緩解缺氧壓力,提高植物生存率。摘要指出,不定根的形成是植物對淹沒的常見響應,但吸收氧氣的功能此前缺乏實驗證據。
研究目的:
本研究旨在驗證水生不定根是否能夠從水柱中吸收氧氣,并評估這一功能對完全淹沒植物生存的重要性。具體目的是通過實驗證明不定根的氧氣吸收機制,并探討其對植物生理和生存的影響。
研究思路:
研究采用實驗方法,包括將植物完全淹沒在黑暗條件下,修剪不定根作為對照組。思路分為三步:首先使用微電極測量水下氧氣梯度 towards 活根和死根;其次測量節點氧氣濃度比較有和沒有不定根的情況;最后量化植物生長、生存和碳水化合物含量。通過直接測量氧氣動態和植物響應來驗證假設。
測量的數據及研究意義:
1 氧氣梯度數據:來自圖2,顯示活不定根周圍氧氣濃度在600μm范圍內顯著降低,而死根和背景板無此現象。研究意義是直接證明不定根吸收氧氣,表明活根具有代謝活性,氧氣被消耗和運輸。

2 節點氧氣濃度數據:來自圖3,顯示有不定根的節點氧氣濃度顯著高于無不定根的節點。研究意義是表明吸收的氧氣被運輸到植物內部,緩解組織缺氧。

3 葉片脫落和生存數據:來自圖4,顯示有不定根的植物葉片脫落慢,莖尖組織軟化比例低。研究意義是證明氧氣吸收改善植物活力,延長生存時間。

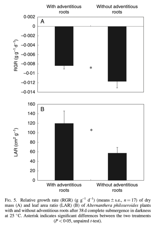
4 生長率和葉面積比數據:來自圖5,顯示有不定根的植物相對生長率(RGR)較高,葉面積比(LAR)較大。研究意義是反映更好的能量利用效率,減少生物量損失。

5 非結構性碳水化合物數據:來自圖6,顯示有不定根的植物葉片和莖中可溶性糖和淀粉含量較高。研究意義是表明氧氣吸收促進有氧呼吸,節約碳水化合物儲備,避免厭氧代謝的浪費。

結論:
研究結論是水生不定根能吸收環境中的氧氣,緩解缺氧壓力,提高碳水化合物利用效率,從而延長完全淹沒植物的生存時間。結論強調不定根作為氧氣源的重要性,尤其在黑暗或渾濁水域中,這可能影響植物在洪水環境中的適應性和競爭力。
使用丹麥Unisense電極測量數據的研究意義:
使用丹麥Unisense電極(如OX10和OX25微電極)測量氧氣濃度數據的研究意義在于其高精度和空間分辨率。電極尖端直徑小(10μm或25μm),允許在不動植物的情況下進行原位測量,避免了干擾。數據直接顯示不定根表面的氧氣梯度變化(圖2)和節點內部的氧氣濃度(圖3),提供了不定根吸收氧氣的直接證據。這種測量方法能量化氧氣通量,區分活根和死根的代謝差異,并驗證氧氣運輸路徑。Unisense電極的可靠性和靈敏度為研究植物淹沒生理提供了關鍵工具,有助于理解微環境氧氣動態及其對植物生存的影響。