熱線:021-66110810,66110819
手機:13564362870

熱線:021-66110810,66110819
手機:13564362870
Phosphorus mobility under short-term anoxic conditions in two shallow eutrophic coastal systems (Curonian and Sacca di Goro lagoons)
兩種淺海富營養化系統在短期缺氧條件下磷的遷移
來源:Estuarine, Coastal and Shelf Science 164 (2015) 134-146
摘要內容
本研究調查了短期缺氧對兩個富營養化歐洲潟湖(波羅的海的庫爾斯潟湖和地中海的薩卡迪戈羅潟湖)河口沉積物中磷遷移性的影響。這兩個研究區域在氣候和鹽度上有所不同:北部的庫爾斯潟湖是寡鹽性的,而地中海的薩卡迪戈羅潟湖是中鹽性的。在每個潟湖中選擇兩個站點,分別代表受河流羽流排放影響的區域和受高有機質沉積影響的區域。通過黑暗條件下完整柱芯培養,測量了在氧化和缺氧條件下的溶解氧、無機磷、二價鐵和二價錳的底棲通量。結果表明,短期缺氧僅對薩卡迪戈羅潟湖中有機質豐富且鹽度較高的站點的DIP(以及硫化物和Fe2?)底棲通量產生顯著影響,而其他站點的內部緩沖機制阻止了無機磷的再生。
研究目的
本研究旨在探究在氣候和鹽度不同的兩個富營養化潟湖中,短期缺氧事件對沉積物磷遷移性的影響,并闡明控制磷動態的站點特異性機制(如鹽度、有機質特性、金屬庫存在等)。
研究思路
研究采用對比站點與室內培養模擬相結合的策略:
站點選擇:在兩個潟湖(庫爾斯潟湖和薩卡迪戈羅潟湖)中各選擇兩個具有對比特征的站點:一個代表有機質富集區,另一個代表受河流羽流影響的區域。
樣品采集與培養:于2013年夏季采集各站點的完整沉積物柱芯和底層水樣。在實驗室模擬原位溫度進行培養。
缺氧誘導與通量測量:通過黑暗培養(持續至40小時,取決于耗氧速率)誘導缺氧條件。在氧化向缺氧轉變的過程中,時間序列測量上覆水中的溶解氧、DIP、Fe2?和Mn2?濃度,并計算其底棲通量。
孔隙水與固體相分析:在培養開始(氧化條件)和結束(缺氧條件)時,進行沉積物切片,分析孔隙水中的DIP、Fe2?、Mn2?和硫化物的垂直剖面,并對表層沉積物進行磷形態分級提取。
微剖面測量:使用丹麥Unisense微電極在培養前后測量沉積物-水界面的溶解硫化物微剖面。
數據分析:比較不同站點、不同氧條件下各參數的變化,識別控制磷遷移的關鍵因素。
測量數據及研究意義(注明數據來源)
底棲通量(溶解氧、DIP、Mn2?、Fe2?):
數據內容:測量了沉積物耗氧速率以及DIP、Mn2?、Fe2?在沉積物-水界面的交換通量。例如,薩卡迪戈羅潟湖SGL_1站點的耗氧速率最高(12.6±0.1 mmol m?2 h?1),且缺氧條件下DIP和Fe2?釋放通量顯著增加。
研究意義:量化了沉積物在缺氧條件下的代謝活性和營養鹽/金屬釋放潛力。揭示了短期缺氧對磷釋放的刺激效應具有站點特異性,主要發生在高鹽度、有機質富集的站點。


數據來源:通量動態展示在圖2;平均通量對比展示在圖3。
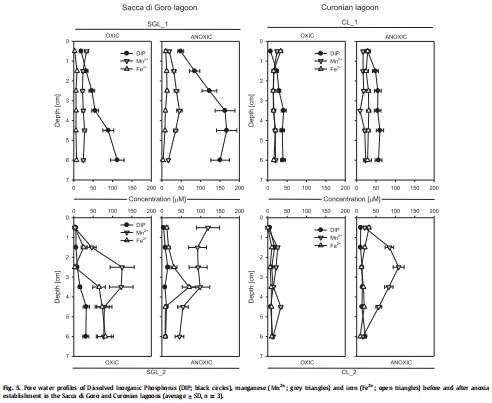
孔隙水化學剖面(DIP、Fe2?、Mn2?):
數據內容:獲得了氧化和缺氧條件下孔隙水中DIP、Fe2?、Mn2?的垂直濃度分布。例如,在SGL_1站點,缺氧導致0-5厘米沉積層中DIP濃度增加三倍。
研究意義:反映了沉積物內部磷和金屬的遷移與轉化過程。Mn2?在河流影響站點(SGL_2, CL_2)的孔隙水中大量積累,表明錳還原活動活躍。

數據來源:圖5展示了各站點培養前后的孔隙水剖面。
溶解硫化物(H?S)微剖面:
數據內容:使用Unisense H?S微電極測量了沉積物表層H?S濃度的垂直分布。結果顯示,僅在薩卡迪戈羅潟湖的站點檢測到H?S積累,且在SGL_1站點缺氧條件下濃度顯著升高(最高達180 μM)。
研究意義:直接證明了硫酸鹽還原過程的發生及其強度。高H?S濃度是驅動鐵還原和磷釋放的關鍵化學信號。

數據來源:圖4展示了薩卡迪戈羅潟湖站點培養前后的H?S微剖面。
沉積物磷形態:
數據內容:對表層沉積物(0-1厘米)進行磷形態分級。結果顯示,河流影響站點(SGL_2, CL_2)碎屑鈣結合磷比例高,而SGL_2站點的鐵結合磷庫較豐富。
研究意義:闡明了沉積物中磷的儲存形態及其對環境變化的敏感性。鐵結合磷的減少與缺氧條件下磷的釋放直接相關。


數據來源:磷形態百分比組成見圖6;氧化/缺氧條件下反應性磷庫的變化見圖7。
結論
站點特異性響應:短期缺氧對磷釋放的影響具有高度站點特異性。僅在薩卡迪戈羅潟湖的有機質富集站點(SGL_1)觀察到了顯著的DIP釋放,這與高硫酸鹽還原速率和硫化物積累導致的鐵結合磷溶解有關。
緩沖機制的重要性:在其余三個站點,盡管存在缺氧,但DIP釋放被有效抑制。這歸因于一系列緩沖機制:
錳循環的關鍵作用:在河流影響站點(SGL_2, CL_2),活躍的錳還原和再氧化循環消耗了還原性物質(如Fe2?、H?S),保護了鐵氧化物庫,從而防止了磷的大量釋放。
生物擾動與硝酸鹽:生物擾動活動和底層水中較高的硝酸鹽濃度有助于維持沉積物的氧化狀態,增強了緩沖能力。
有機質質量:庫爾斯潟湖有機質富集站點(CL_1)的有機質可能更難以降解,限制了微生物代謝和磷的再生。
控制因素:鹽度(通過硫酸鹽可用性影響硫循環)、有機質輸入的類型和質量、金屬(特別是錳和鐵)的氧化還原循環以及生物擾動,共同構成了一個復雜的調控網絡,決定了缺氧條件下磷的命運。
詳細解讀使用丹麥Unisense電極測量出來的數據有什么研究意義
本研究中使用丹麥Unisense公司生產的硫化氫(H?S)微電極進行了高分辨率測量,這些數據的研究意義至關重要:
提供高分辨率的原位硫化物動態證據:Unisense H?S微電極能夠以200微米的垂直分辨率直接測量沉積物最表層的H?S濃度剖面(圖4)。這種高空間分辨率的原位測量避免了傳統孔隙水取樣可能帶來的氧化或擾動,準確捕捉了硫化物產生和積累的精確位置和強度。
直接驗證硫酸鹽還原過程及其站點差異:H?S是硫酸鹽還原菌代謝的終產物。Unisense微電極的數據清晰顯示,H?S僅出現在薩卡迪戈羅潟湖的站點,并且在有機質富集的SGL_1站點濃度最高。這為解釋為何磷釋放僅在該潟湖的特定站點發生提供了直接的、關鍵的機制性證據:即高鹽度帶來的硫酸鹽促進了硫酸鹽還原,產生大量H?S。
揭示硫化物在磷釋放機制中的核心作用:H?S微剖面數據與磷釋放通量(圖2C, D)和孔隙水化學(圖5)緊密結合。在SGL_1站點,H?S的積累與DIP和Fe2?釋放的激增在時間上同步。這強有力地支持了論文的核心論點:H?S通過化學還原鐵氧化物(Fe(III))并形成鐵硫化物(FeS)沉淀,從而破壞了鐵氧化物對磷的吸附固定能力,導致磷的釋放。Unisense電極的數據量化了這一過程的強度。
界定化學微環境與生物地球化學熱點:H?S剖面幫助確定了硫酸鹽還原活躍的沉積層深度。例如,在SGL_1,即使在培養前的“氧化”條件下,H?S在1.5厘米以下也已存在,表明該站點沉積物本身就處于強還原狀態。這解釋了為何該站點對缺氧響應迅速且強烈。
總之,Unisense H?S微電極提供的高分辨率原位數據,是連接物理化學驅動因子(鹽度、缺氧)與生物地球化學響應(硫酸鹽還原、磷釋放)之間的關鍵橋梁和“指紋”證據。它不僅證實了不同站點硫循環強度的差異,更重要的是,它將宏觀的通量變化與微觀的界面過程機理直接聯系起來,極大地增強了對富營養化沿海系統中磷循環復雜性和站點特異性的理解,突出了硫化物在特定環境下作為磷釋放“觸發器”的重要角色。