熱線:021-66110810,66110819
手機:13564362870

熱線:021-66110810,66110819
手機:13564362870
Evaluating the impact of oyster (Crassostrea virginica) gardening on sediment nitrogen cycling in a subtropical estuary
評估牡蠣園藝對亞熱帶河口沉積物氮循環的影響
來源: Bulletin of Marine Science 91(3):323–341. 2015
一、摘要內容
摘要指出,為了量化牡蠣對沉積物氮循環的影響,研究在美國莫比爾灣的兩個站點進行了實驗,將無牡蠣的籠子以及裝有成年或幼年美洲牡蠣的籠子懸掛在沉積物上方。研究發現,站點2的硫化氫低于檢測限,而站點1在實驗前硫化氫就超過500μM,并且在牡蠣處理組的沉積物中持續可檢測到。估算的牡蠣介導的氮輸入量在幼年和成年處理組中分別為11.4和3.2克氮/平方米。與反硝化、硫酸鹽還原、細菌和古菌硝化相關的基因豐度在研究期間有所變化,但不受處理方式的影響。同樣,各處理組的潛在反硝化速率相似。盡管幼年處理組的沉積物葉綠素a含量顯著較高,但通過膜進樣質譜儀測定的凈N2通量在各處理組間無差異。結論是,通常假設的因牡蠣投放而增強的沉積物N2流失速率并不總是成立,可能取決于特定站點的生物地球化學條件。
二、研究目的
本研究的主要目的是量化懸掛養殖的牡蠣(Crassostrea virginica)對其下方沉積物氮循環的影響。具體目標是檢驗以下假設:牡蠣產生的生物沉積物會增加輸入到沉積物中的氮,并通過刺激反硝化作用(將硝酸鹽轉化為氮氣N2,從而將氮從水體中永久移除)來增強氮的去除。研究旨在評估這種基于牡蠣的修復策略作為緩解河口富營養化手段的潛在效果。
三、研究思路
研究采用現場控制實驗的思路:
實驗設計:在莫比爾灣兩個環境條件相似但沉積物地球化學背景不同的站點(站點1和站點2),設置三種處理(每個站點各設3個重復):
對照處理:懸掛無牡蠣的空籠子。
成年牡蠣處理:懸掛裝有600只成年牡蠣的籠子。
幼年牡蠣處理:懸掛裝有1800只幼年牡蠣的籠子。
籠子均懸停在沉積物上方0.2米處,實驗持續4個月(2011年6月至9月)。
多參數測量:在實驗前后及期間,測量多種物理、化學和生物指標,以全面評估牡蠣的影響。
對比分析:比較不同處理組和不同站點之間的數據,以分離出牡蠣生物沉積的凈效應,并評估站點特異性因素的影響。
四、測量數據及其研究意義(注明圖表來源)
研究測量了多類數據,其意義和圖表來源如下:
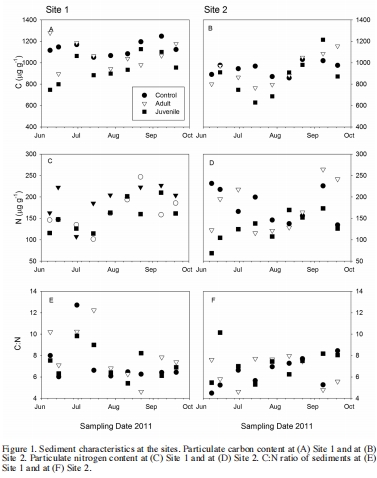
沉積物碳、氮含量和C:N比:測量了沉積物中的顆粒有機碳含量、氮含量并計算了C:N比。
研究意義:用于評估牡蠣生物沉積物是否增加了沉積物中的有機質和氮負荷。結果顯示,幼年處理組的碳含量在某些時間點顯著低于其他組,而氮含量在對照中較高,表明生物沉積物的輸入可能被快速礦化或分散,并未導致沉積物有機質顯著累積。該數據來自圖1A-F(展示了兩個站點不同處理下隨時間的碳、氮含量和C:N比)。

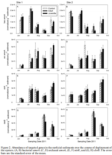
微生物功能基因豐度:使用定量PCR技術測量了與關鍵氮循環和硫循環過程相關的功能基因的拷貝數,包括細菌氨氧化基因、古菌氨氧化基因、反硝化基因和硫酸鹽還原基因。
研究意義:作為執行硝化、反硝化和硫酸鹽還原過程的微生物群落數量的指標。結果顯示這些基因的豐度隨時間有顯著變化,但各處理組間無顯著差異,表明牡蠣的氮輸入不足以超越其他環境因素對這些微生物群落的影響。該數據來自圖2A-H(展示了兩個站點不同處理下各基因的豐度隨時間變化)。

潛在反硝化速率:使用乙炔抑制法測量了沉積物的潛在反硝化速率。
研究意義:評估沉積物在硝酸鹽充足的情況下去除氮的最大潛力。結果顯示速率在5.3至280.3 μmol N m?2 hr?1之間,雖有時間變化,但處理組間無顯著差異。該數據來自圖3A-B(展示了兩個站點不同處理下的潛在反硝化速率)。

沉積物孔隙水氧氣和硫化氫剖面(使用丹麥Unisense電極測量):使用Unisense微電極測量了沉積物中溶解氧和硫化氫濃度的垂直剖面。
研究意義:直接揭示了沉積物的氧化還原狀態,這是控制氮循環路徑(如硝化與反硝化耦合 vs. 異化硝酸鹽還原為銨)的關鍵。數據顯示站點1存在高硫化氫和淺的含氧層,而站點2則沒有硫化氫。這種差異對解釋氮循環響應至關重要。該數據來自圖4A-H(展示了實驗前后兩個站點不同處理下的氧氣和硫化氫剖面)。

沉積物葉綠素a和底棲通量:測量了沉積物表層的葉綠素a含量(指示底棲微藻生物量)以及通過沉積物-水界面的氧氣、銨鹽、硝酸鹽和氮氣的凈通量。
研究意義:葉綠素a數據表明牡蠣處理(尤其是幼年組)顯著增加了底棲微藻的生物量,這可能是由于水質改善(濾食作用)所致。然而,底棲通量測量顯示,盡管有更多的有機質輸入,各處理組間的氮氣通量無顯著差異,甚至在某些情況下表現為固氮作用(N2吸收)超過反硝化作用。該數據來自表2(列出了實驗結束時各處理組的葉綠素a和通量數據)和表3(對通量數據的統計分析)。


五、結論
研究得出以下核心結論:
牡蠣對沉積物氮去除的效應不顯著:與預期相反,盡管估算了可觀的氮輸入(幼年組11.4 g N m?2,成年組3.2 g N m?2),但牡蠣的存在并未顯著增強沉積物的反硝化作用(N2產生)或改變相關的微生物群落結構。
站點地球化學條件的主導作用:沉積物固有的氧化還原條件(如站點1存在硫化氫抑制硝化作用,兩個站點的含氧層均很淺)是控制氮循環路徑的主要因素,其影響超過了牡蠣生物沉積物輸入的作用。
反硝化作用可能受硝酸鹽限制:高的潛在反硝化速率但低的凈N2逸出通量表明,現場的反硝化過程可能受到硝酸鹽供應量的限制,而硝酸鹽主要來源于上覆水體而非沉積物內的硝化作用。
對修復實踐的啟示:牡蠣修復或養殖對氮循環的影響是高度站點特異性的。不能保證其一定能增強沉積物反硝化脫氮。在選擇項目地點時,必須考慮當地的水動力、沉積物氧化還原電位等屬性,才能實現預期的環境效益。
六、使用丹麥Unisense電極測量數據的研究意義詳細解讀
使用丹麥Unisense公司生產的微電極(型號OX500-UW和H2S500-UW)測量的溶解氧和硫化氫剖面數據,在本研究中具有至關重要的研究意義,是理解和解釋整個實驗核心結論的關鍵:
提供了沉積物氧化還原狀態的直接、高分辨率證據:Unisense微電極能夠以毫米級的分辨率原位測量孔隙水中O2和HS-的濃度變化。圖4A-H清晰地展示了兩個站點截然不同的地球化學背景:站點1在沉積物深層(4-10毫米)存在高濃度(>500 μM)的硫化氫,且含氧層很淺;而站點2在整個測量的上層沉積物中均未檢測到硫化氫。這種站點間的固有差異是導致氮循環對牡蠣輸入響應不一致的根本原因之一。
為解釋氮循環路徑提供了關鍵機理:測量到的氧化還原剖面直接影響了氮轉化的微生物過程:
在站點1:高濃度的硫化氫對硝化細菌有抑制作用(Joye and Hollibaugh, 1995)。由于硝化作用(將銨鹽轉化為硝酸鹽)被抑制,即使牡蠣輸入了有機氮(最終礦化為銨鹽),也無法有效地通過耦合的硝化-反硝化作用產生N2。同時,硫化氫的存在可能促進了異化硝酸鹽還原為銨的作用,這將氮保留在系統內而非以N2形式移除。這解釋了為什么在站點1,盡管有生物沉積,凈N2通量仍未增加。
含氧層厚度:兩個站點的含氧層都非常淺(約幾毫米),這限制了需要氧氣的硝化作用發生的空間,從而制約了反硝化作用所需底物(硝酸鹽)的內部供應。
區分了處理效應與環境背景效應:Unisense的數據表明,站點的初始地球化學條件對沉積物生物地球化學過程的控制力遠大于為期4個月的牡蠣生物沉積所產生的影響。這使得研究者能夠得出結論:牡蠣增強反硝化并非一個普遍現象,其有效性強烈依賴于沉積物自身的氧化還原狀態。如果沒有這些電極數據,就很難令人信服地解釋為什么在各處理組間觀察不到顯著的脫氮效應。
方法學上的可靠性與必要性:傳統的孔隙水取樣方法會破壞沉積物的精細結構并可能改變其化學性質。Unisense微電極的原位、無損測量提供了更真實的環境快照。其高精度對于識別薄層但關鍵的化學梯度(如氧躍變層)至關重要,而這些梯度控制著微生物活動的空間分異。
總而言之,Unisense電極測量數據在本研究中扮演了“診斷工具”的角色。它沒有直接顯示出牡蠣的處理效應,但卻至關重要地揭示了為何處理效應不顯著的內在原因,將研究的深度從簡單的現象描述提升到了機理探討的層面,強調了在評估生態系統修復工程時,必須充分考慮環境背景的重要性。