熱線:021-66110810,66110819
手機:13564362870

熱線:021-66110810,66110819
手機:13564362870
Dynamics of phosphorus-iron-sulfur at the sediment-water interface influenced by algae blooms decomposition
受藻華分解影響的沉積物-水界面的磷-鐵-硫動力學
來源:Journal of Hazardous Materials 300 (2015) 329–337
一、摘要內容
摘要指出,藻華引發的生態惡化是全球關注的問題,但藻華分解對沉積物-水界面磷、鐵、硫動態影響的機制尚不明確。本研究首次結合兩種新型擴散梯度薄膜技術和微電極,通過原位中宇宙實驗,研究了藻華分解對這些元素動力學的影響。研究發現,藻華分解導致水體中可溶性磷、二價鐵和硫化物濃度顯著升高,并在第7天達到峰值。沉積物中的活性磷、鐵和硫也呈現類似變化趨勢。藻華分解釋放的磷和硫導致了從界面向沉積物和上覆水體的雙向擴散通量,而沉積物仍是活性鐵的主要來源。藻華分解改變了磷釋放的主要機制,并闡明了富營養化湖泊中“黑水團”形成的鐵、硫來源。
二、研究目的
本研究的主要目的是闡明藻華分解對淺水湖泊沉積物-水界面磷、鐵、硫生物地球化學循環的動態影響。具體目標包括:
量化藻華分解過程中,上覆水體和沉積物孔隙水中磷、鐵、硫濃度的時空變化。
揭示藻華分解如何改變這些元素在沉積物-水界面的通量方向與大小。
探討藻華分解如何影響磷、鐵、硫三者之間的相互作用關系。
為理解富營養化湖泊中內源負荷及“黑水團”等環境問題的形成機制提供科學依據。
三、研究思路
研究采用受控中宇宙實驗與高分辨率原位監測技術相結合的思路:
實驗設計:從巢湖采集沉積物、湖水和藻華浮渣。在實驗室設置兩組Plexiglas管柱:對照組和添加藻華的處理組。模擬藻華在沉積物表面的厭氧分解過程,實驗持續16天。
高頻監測:在實驗期間,定期(共8次)進行測量。
多技術聯用:
使用ZrO-Chelex DGT和ZrO-AgI DGT兩種復合探針,同步高分辨率測量沉積物-水剖面中的活性磷與鐵、以及活性磷與硫的分布。
在每次DGT部署前,使用丹麥Unisense氧化還原電位微電極測量沉積物的Eh垂直剖面。
數據分析:基于DGT剖面計算元素在界面的表觀通量,并分析活性磷與鐵、硫之間的相關性變化,以揭示其耦合關系的轉變。
四、測量數據及其研究意義(注明圖表來源)
研究測量了多類數據,其意義和來源如下:
水柱中可溶性活性磷、二價鐵、硫化物濃度隨時間變化數據:定期測量上覆水體中這些指標的濃度。
研究意義:直接反映了藻華分解過程中向水體釋放營養物和還原性物質的強度和時間動態。數據顯示三者濃度在處理組中于第7天左右出現峰值,表明藻華分解是水體營養鹽和硫化物急劇增加的重要來源。該數據來自圖1。

沉積物氧化還原電位剖面數據(使用丹麥Unisense電極測量):使用微電極測量沉積物不同深度的Eh值。
研究意義:精確刻畫了藻華分解導致的沉積物氧化還原狀態的變化。數據顯示處理組沉積物Eh值在第8天前后急劇下降,證實了藻華分解創造了強烈的還原環境,這是驅動鐵氧化物還原和硫化物生成的關鍵條件。該數據來自圖2。

沉積物-水剖面中DGT活性磷、鐵、硫的垂直分布數據:通過DGT技術獲得毫米級分辨率的元素分布圖像。
研究意義:揭示了元素在界面附近的微觀分布和遷移規律。例如,活性磷和硫在界面處出現濃度峰值和向上、向下的濃度梯度,表明藻華分解釋放的物質在界面處積累并雙向擴散。而活性鐵則保持從沉積物深層向上擴散的趨勢。這些數據是計算通量和理解過程機制的基礎。該數據來自圖3(活性磷)、圖4(活性鐵)和圖5(活性硫)。



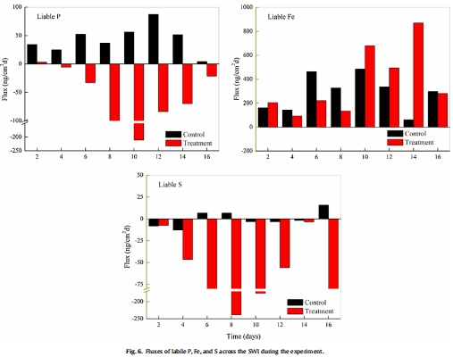
沉積物-水界面表觀通量數據:基于DGT剖面濃度梯度計算得出的磷、鐵、硫通過界面的凈通量。
研究意義:定量評估了界面是作為元素的“源”還是“匯”。計算結果顯示,在處理組中,界面是磷和硫的“匯”(凈通量為負值,即元素從水體向沉積物遷移),但卻是鐵的“源”(凈通量為正值)。這表明藻華釋放的磷和硫部分被沉積物捕獲,而鐵則持續從沉積物釋放。該數據來自圖6。

活性磷與鐵、硫相關性變化數據:分析了不同實驗階段活性磷與鐵、活性磷與硫之間的相關系數。
研究意義:揭示了藻華分解如何改變元素間的耦合關系。在對照組和實驗初期,磷與鐵顯著正相關,支持傳統的“鐵門控”機制;但在藻華強烈分解后,這種相關性消失,轉而與硫出現正相關,表明磷的釋放轉而受藻華分解過程本身主導。該數據來自圖7。

五、結論
研究得出以下核心結論:
藻華是重要的營養庫:藻華厭氧分解直接向上覆水體和沉積物界面釋放了大量的磷和硫化物。
改變界面通量與元素來源:藻華分解使沉積物-水界面成為磷和硫的“匯”(接收者),但沉積物仍是活性鐵的主要“源”。這表明“黑水團”現象中的鐵主要來自沉積物,而硫主要來自降解的藻類。
顛覆傳統耦合機制:藻華分解削弱甚至改變了沉積物中磷釋放由鐵還原控制的經典機制(“鐵門控”效應),使磷的動態與藻華分解過程直接關聯。
環境啟示:藻華消亡后,其分解過程會顯著加劇水體的內源負荷,并創造形成黑色硫化亞鐵沉淀的條件,直接關聯到“黑水團”等環境災害的發生。
六、使用丹麥Unisense電極測量數據的研究意義詳細解讀
在本研究中,使用丹麥Unisense公司生產的氧化還原電位微電極測量的Eh剖面數據,雖然看似簡單,但其研究意義至關重要,是理解整個實驗過程中氧化還原環境演變的基石:
提供了氧化還原環境演變的直接、高分辨率證據:Unisense微電極能夠以毫米級的精度原位測量沉積物孔隙水的Eh值。圖2清晰地展示了處理組沉積物Eh值隨藻華分解而急劇下降,并在實驗中期(第8天左右)達到最低點。這為“藻華分解創造了強還原環境”這一核心論斷提供了最直接、最客觀的量化證據。沒有這種高分辨率測量,很難精確界定還原條件發展的程度和時空范圍。
為解釋元素形態轉化和遷移提供了關鍵的機理背景:磷、鐵、硫的形態和溶解度高度依賴于環境的氧化還原狀態。Unisense電極測量到的低Eh值,直接解釋了為什么同時觀測到:
活性鐵的增加:低Eh促進了沉積物中鐵氧化物的還原溶解,釋放出Fe(II)。
硫化物的生成:強還原條件是硫酸鹽還原菌活躍、產生S(-II)的前提。
磷的釋放:雖然本研究中磷主要直接來自藻體分解釋放,但低Eh環境也削弱了沉積物對磷的固定能力。
建立了藻華分解強度與地球化學響應的時間關聯:將Eh最低點(圖2)與水柱中磷、鐵、硫濃度峰值(圖1)以及DGT活性硫峰值(圖5)在時間上關聯起來,有力地證明了藻華分解的強度(通過創造的還原程度來指示)直接控制了營養鹽和硫化物釋放的峰值 timing。這使得整個過程的動態變化有了一個統一的時間標尺。
方法學優勢:與傳統取樣測Eh的方法相比,Unisense微電極的原位測量避免了樣品暴露于空氣導致的氧化還原狀態改變,獲得了更真實的數據。其高空間分辨率對于捕捉沉積物-水界面這一薄層內的劇烈化學梯度變化至關重要。
總而言之,Unisense氧化還原電位電極數據在本研究中扮演了 “環境診斷儀” 的角色。它沒有直接測量磷、鐵、硫的濃度,但卻至關重要地揭示了驅動這些元素發生形態轉化和遷移的根本動力——氧化還原條件的劇烈變化。這些數據將生物學過程(藻華分解)與地球化學響應(元素循環改變)有機地聯系起來,為論文的核心結論提供了堅實的環境背景支持。