熱線:021-66110810,66110819
手機:13564362870

熱線:021-66110810,66110819
手機:13564362870
實驗結果
1.慢性感染CF患者分離株產生N2O的研究
銅綠假單胞菌、木糖氧化芽孢桿菌和多食性芽孢桿菌在添加NO3?的厭氧LB培養基中培養1或2天。嗜麥芽窄食單胞菌在添加NO3?或NO2?的厭氧LB液中培養時,不能顯著提高N2O濃度。
嗜麥芽假單胞菌不含釋放N2O的酶。相比之下,高致病性CF分離株的相應參考菌株顯示出較低的N2O產生量,表明致病臨床菌株適應肺部感染期間的厭氧呼吸。
2.慢性感染CF患者分離株的生物量積累
生物量的積累可以通過去除O2和補充由吸光度和目測確定的NO2?或NO2?來控制。所有4種分離的病原菌的厭氧培養結果顯示,當添加NO3?時,吸光度顯著增加,表明所有4種病原菌都具有通過NO3?還原進行厭氧生長的能力。然而,在添加3號的厭氧培養中,銅綠假單胞菌、木糖氧化桿菌和多重嗜麥芽單胞菌在第二天的吸光度明顯高于嗜麥芽寡養桿菌,表明嗜麥芽寡養桿菌的生長較慢。添加亞硝酸鹽僅顯著增加了生物量對于銅綠假單胞菌,表明在亞硝酸鹽上有厭氧生長的能力。對參考菌株也觀察到了類似的結果。
3.慢性感染CF患者分離株的生長
(從慢性感染的CF患者分離的菌株中觀察到的生長情況,在沒有添加或添加10 mM NO3?或10 mM NO2?的需氧或厭氧的LB肉湯中生長2天。銅綠假單胞菌12株,木糖假單胞菌9株,多食單胞菌9株,沙門氏菌9株。)
在厭氧培養中加入10 mMN3?,在第1天和第2天銅綠假單胞菌的cfu/ml顯著增加,在第1天木糖氧化桿菌的cfu/ml顯著增加。相反,添加10 mM的3號并沒有顯著增加多食桿菌和嗜麥芽寡養桿菌的cfu/ml數量。只有嗜麥芽寡養單胞菌受到補充10 mMNO2?的影響,這導致cfu/ml顯著下降。
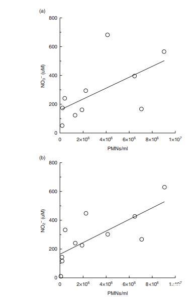
4.慢性感染CF患者分離株中NO3?和NO2?胞外濃度
對于所有4種病原菌,添加10 mM NO3?的厭氧LB發酵液中的NO3?濃度在第1天和第2天都顯著降低,但嗜麥芽寡養單胞菌不能消耗全部NO3?。這表明,在所有物種中都存在由于活性而導致的N3消耗,高致病力的銅綠假單胞菌、木氧桿菌、亞硝酸鹽?濃度顯著增加。因此,只有高致病性的CF菌株才能將NO3?還原產生的NO2?輸出到培養基中。嗜麥芽寡養單胞菌在消耗N3?的過程中胞外NO2?含量沒有增加,部分原因可能是同化反硝化作用。顯然,只有銅綠假單胞菌能夠顯著消耗NO2?,這表明該病原菌含有更多的活性亞硝酸鹽還原酶。與第1天出現的NO2?快速消耗相反,第2天后NO2?濃度顯著降低。這類似于最近在感染的CF痰中發現的并表明NO2?的減少速度慢于N3?的減少速度。
5.嗜麥芽窄食單胞菌比生長速率與細胞核糖體含量的相關性
為了建立細菌生長速度與16S rRNA細胞含量之間的相關性,對生長過程中收集的3株嗜麥芽寡養單胞菌進行了定量PNA FISH(針對嗜麥芽窄食單胞菌核糖體的16S rRNA),其中對應的計算增長率。這些標準曲線用于估計痰標本中嗜麥芽寡養葡萄球菌的原位生長速度。
6.rRNA雜交法檢測慢性感染患者痰中非生長嗜麥芽寡養單胞菌
利用嗜麥芽寡養單胞菌的特定生長率與細胞核糖體含量之間的相關性,首次估計了痰中嗜麥芽寡養單胞菌的原位生長率。有趣的是,根據核糖體數量的減少,在痰中分析的大多數細胞被發現是不生長到生長緩慢的細胞。這些細胞都沒有達到從痰標本中分離的細胞在好氧LB發酵液中測得的體外生長速度。這一點得到了共聚焦熒光顯微鏡的證實。這些痰的生長速度大大低于好氧培養期間,嗜麥芽寡養單胞菌在痰標本中處于休眠狀態。
討論
盡管有幾種人類病原體沒有反硝化的遺傳機制,但反硝化的臨床意義一直受到質疑。我們的數據表明,某些革蘭氏陰性病原菌在慢性肺部感染期間造成嚴重的肺損傷能夠進行反硝化作用,而嗜麥芽寡養單胞菌沒有反硝化作用,導致慢性感染后肺功能不那么嚴重的下降。
為了證明反硝化作用,我們測量了N2O的濃度,這被認為是厭氧培養中反硝化的真正標標。
對于銅綠假單胞菌來說,在補充亞硝酸鹽的過程中,消耗亞硝酸鹽和增加生物量的能力進一步證實了該病原菌可以進行反硝化作用。此外,為了用二氧化氮殺死肺部病原體,需要仔細監測補充的二氧化氮是否會導致病原體種群的擴大或減少。相比之下,嗜麥芽寡養單胞菌分離株未能產生N2O,這與缺乏編碼已知酶的基因一致,這些酶參與了氮氧化物產生氣體的過程。
所有四個物種都表現出NAR活性,表現為在補充N3?期間N3?的生物量和消耗增加,這對應于環境中嗜麥芽寡養單胞菌的NAR酶活性,臨床嗜麥芽寡養單胞菌的nar基因,以及三個高度致病菌株中描述良好的遺傳結構。嗜麥芽假單胞菌的低厭氧生長可能與嗜麥芽寡養單胞菌不能利用反硝化作用進行N3?的厭氧呼吸有關,表現為不能完全消耗N3?,同時缺乏NO2?的積累和N2O的產生。然而,在補充NO3?的過程中適量地消耗NO3?和誘導生長,以及反硝化途徑中NAR下游活性酶的生物標志物的缺乏,表明嗜麥芽假單胞菌能夠通過N3?的呼吸而生長,而不需要進一步減少末端電子受體的步驟。
因此,嗜麥芽寡養單胞菌中nar基因的表達降低。在厭氧條件下也可以解釋觀察到的生長較慢的原因,但有待進一步研究。此外,我們推測嗜麥芽窄食單胞菌的厭氧持久性是否也受到發酵過程的支持,在銅綠假單胞菌中,精氨酸或丙酮酸促進了厭氧生長或存活。
綜上所述,本研究通過反硝化厭氧生長的能力,從低致病力嗜麥芽寡養單胞菌,到高致病性的銅綠假單胞菌、木氧桿菌和多食芽孢桿菌。提示反硝化作用可能參與了慢性肺部感染時革蘭氏陰性菌的致病作用。
相關新聞