熱線:021-66110810,66110819
手機:13564362870

熱線:021-66110810,66110819
手機:13564362870
免疫印跡。變性電泳(SDS-PAGE)是在Mini Protean III儀器中按照Laemmli方案略加修改后進行的。每個樣品使用20微克的總蛋白質。電泳分離的樣品在4°C下以400mA電印跡1小時后轉移到硝酸纖維素(NC)膜上。NC膜在5%牛血清白蛋白(BSA)中阻斷過夜,然后用0.15%磷酸鹽緩沖鹽水(PBS-T)中洗滌,并與針對磷酸化-AMPKα(Thr172)、AMPKα、磷酸化-AKT_Ser473、磷酸化-AKT_Thr308、AKT、磷酸化-mTOR_Ser2448、mTOR、COX5A、COX2、ND4L、Actin和SBDS的特異性抗體(Abs)(4℃過夜)培養。二級HPR結合抗體在PBS-T中以1:10,000稀釋。使用ChemiDoc XRS增強化學發光檢測系統檢測抗體。使用ChemiDoc XRS進行密度分析,并將密度信號與作為管家蛋白的肌動蛋白進行比較。
Ca2+ATPase活性測定。采用酶耦合分光光度法測定25℃下細胞勻漿中的Ca2+ATPase活性,其中ATP水解與NADH氧化耦合。
克隆生成試驗。紅細胞集落和爆發形成單位生長(分別為CFU-Es和BFU-Es)的體外檢測是使用甲基纖維素培養基并輔以細胞因子進行的,具體方法見其他文獻。
細胞膜[Ca2+]i濃度計算。細胞內鈣2+濃度[Ca2+]i是用比率膜滲透熒光指示染料Fura2/AM測量的。將生長在20毫米蓋玻片上的細胞與標準PBS緩沖液中的10μMFura2/AM在37℃下培養45分鐘,然后在室溫下清洗。細胞內游離Ca2+濃度按以下公式計算:[Ca2+]i=βKd(R-Rmin)/(Rmax-R)其中R為E340/E380;Rmin為零Ca2+時的E340/E380;Rmax為Ca2+飽和溶液中的E340/E380;β為零Ca2+時的E380/Ca2+飽和溶液中的E380;Kd為室溫下染料的解離常數(140nM)。為了獲得Rmin和Rmax值,每次實驗后都要在零Ca2+浴(0Ca2+、2mM EGTA)中加入Ca2+離子拮抗劑離子霉素(2nM),然后用飽和Ca2+溶液灌注細胞。實驗結束后,向浴槽中加入5mM MnCl2以淬滅染料的熒光并確定背景值。
結果
SDS細胞的能量代謝存在缺陷。
骨髓衰竭伴白血病演變不僅是SDS的臨床特征,也是其他遺傳性骨髓衰竭疾病(如范可尼貧血)的臨床特征。由于范可尼貧血癥細胞的呼吸作用和ATP生成率降低,導致能量代謝缺陷,而核糖體生物生成和mRNA翻譯需要大量能量,因此我們對SDS細胞的能量代謝進行了研究。
首先,我們測量了細胞內ATP和AMP的濃度,用ATP/AMP比值表示。如圖1A所示,無論是原代淋巴細胞(LYC)還是淋巴母細胞(LB),SDS細胞的ATP/AMP比值都明顯低于對照組。特別是,我們觀察到ATP濃度降低,AMP濃度升高,這表明能量生產嚴重不足(圖1B)。事實上,在突變淋巴母細胞中表達野生型(wt)的SBDS可恢復ATP/AMP比率,這表明SBDS蛋白在能量生產中發揮作用(圖1B)。
細胞ATP的主要來源是氧化磷酸化(OXPHOS)。只有當呼吸復合體的活動與FoF1 ATP合成酶的功能耦合時,該系統才能通過耗氧產生能量。相反,在不耦合的條件下,即呼吸復合體與ATP合成酶不耦合時,氧消耗與ATP生成無關,這可能會誘發氧化應激。
為了評估氧化代謝,我們在使用丙酮酸/蘋果酸或琥珀酸刺激呼吸途徑后測量了耗氧量,這兩種底物分別與復合物I、III和IV以及復合物II、III和IV的活性有關。在對照細胞中,這兩種底物都會導致耗氧量增加(圖1C),而在SDS細胞中,耗氧量無明顯降低,丙酮酸/蘋果酸底物的耗氧量下降不明顯(圖1D)。這些發現與較低的ATP/AMP比率一致,表明在SBDS細胞中,OXPHOS活性受損。與ATP/AMP比率類似,補體SDS細胞的耗氧量也恢復正常(圖1E),這進一步證實了SBDS蛋白參與能量代謝和線粒體功能。
考慮到有缺陷的呼吸途徑共享復合體III和IV,我們假設在SDS中這兩個復合體之一的活性受損。雖然復合體III的活性與對照相似,但復合體IV的活性在SDS細胞中顯著降低(圖1G),而在補體SDS細胞中則恢復正常。為支持這一發現,對照細胞中的復合體I和II活性處于正常范圍。
復合體IV由核或線粒體DNA編碼的32種蛋白質組成。為了研究復合體IV缺乏是否是由于這些蛋白質的表達量減少所致,我們選擇評估復合體IV的兩個組成部分COX5A和COX2的表達水平,它們分別由核DNA和線粒體DNA編碼。如圖1H所示,COX5A和COX2在SDS細胞中的表達水平正常,這表明復合體IV的功能缺陷似乎并不是由于蛋白質表達缺陷造成的。此外,對SDS細胞進行補體后觀察到復合體IV功能恢復正常,這表明該缺陷與SBDS蛋白缺陷有關。
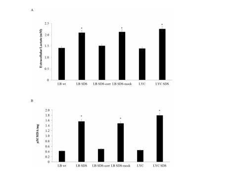
為了測試哪些替代能量途徑可能支持ATP的產生,我們研究了糖酵解,它是相對于OXPHOS最常見的替代能量來源。如圖2A所示,我們發現SDS細胞的乳酸濃度(培養基中糖酵解通量的標志)顯著高于對照組和校正后的SDS細胞,這證實糖酵解途徑維持了SDS細胞的能量需求。
這組實驗證明,SDS細胞因呼吸能力下降而導致能量壓力增加,而呼吸能力下降是由復合體IV活性受損引起的,能量供應是通過激活替代糖酵解途徑提供的。特別是,這些缺陷與突變的SBDS蛋白有關,因為在細胞系中補充SBDS基因后,這些缺陷得到了恢復。
氧化磷酸化的降低會增加SDS細胞中ROS和丙二醛(MDA)的產生。
OXPHOS活性的功能性缺陷與氧化應激產物的增加有關,而在SBDS沉默細胞中,氧化應激產物增加。來自SDS患者的淋巴細胞和淋巴母細胞系都具有相似的ATP和AMP水平以及氧代謝參數;因此,為了評估氧化應激,我們在基線條件下用H2DCFH-DA染色細胞后,用細胞計數法測量了ROS,僅淋巴母細胞系暴露于100μM H2O2后進行了測量。不出所料,與對照組相比,暴露于H2O2的SDS細胞產生了更多的ROS。雖然與wt細胞(3.4±1.2)相比,SDS細胞的基線熒光(熒光任意單位)(4.2±3.1)僅略有增加,但在H2O2誘導后,這一結果明顯增加(18.7±9.4vs7.1±2.5;p>0.05),因此表明僅在應激條件下,SDS細胞產生了過多的ROS。
ROS攻擊多不飽和脂肪酸膜,生成脂質過氧化物。作為脂質過氧化過程的生物標志物,我們測量了丙二醛(脂質過氧化物的分解產物)。如圖2B所示,SDS細胞中的MDA水平高于對照樣本(p<0.001),從而證實了這些細胞中存在脂質過氧化反應,這是氧化應激水平增加的結果。
然而,當我們用電子顯微鏡評估線粒體形態時,并未發現SDS細胞與對照細胞之間存在任何相關差異。
總之,這些實驗表明,SDS細胞主要在受壓條件下產生過量的ROS,這可能與OXPHOS功能失調有關。這反過來又導致脂膜過氧化,但并沒有改變線粒體的形態。總之,這些結果似乎表明,SDS細胞中的氧化應激增加,但并不能嚴重損害線粒體結構。
相關新聞