熱線:021-66110810,66110819
手機:13564362870

熱線:021-66110810,66110819
手機:13564362870
3.2.物種組成和生物體積
僅觀察到綠藻門(綠藻)。在實驗1中,博赫米微囊藻(Micractinium bornhemiense (W.Conrad) Korshikov)是優勢種,在所有高分辨率藻類監測系統中約占微藻生物體積的90%(范圍85-93%)。博赫米微囊藻是一種群體性綠微藻,其細胞規則排列成金字塔形定形群體,包含8至256個球形細胞,每個細胞帶有單根刺突(圖3a)。這類群體性綠微藻雙形盤星藻(Pediastrum duplex Meyen)(占6%;圖3b)和豐富柵藻(Desmodesmus abundans (Kirchner) E. Hegewald)(占4%;圖3c)構成了剩余微藻生物體積。
在實驗2中,博里盤星藻(Pediastrum boryanum (Turpin) E. Hegewald)(圖3d)為優勢種(約占生物體積的65%,范圍61-67%),奧坡柵藻(Desmodesmus opoliensis (P.G.Richter) E. Hegewald)(圖3e)為次優勢種(占30%,范圍27-32%)。剩余生物體積(占總量的5%)由鐮形纖維藻(Ankistrodesmus falcatus (Corda) Ralfs)和小微囊藻(Micractinium pusillum Fresenius)(圖3f和g)組成。博里盤星藻是一種星形群體綠藻,通常由8-64個細胞組成;而奧坡柵藻是一種由4-8個線性排列細胞組成的群體綠藻。與對照組相比,兩次實驗中添加CO2均使微藻總體積顯著增加(表2)。
| Control (pH>9) | pH 8 | pH 7.5 | pH 7 | pH 6.5 | |
|---|---|---|---|---|---|
| 實驗1 | |||||
| 生物體積 (μm3/mL) | 1.32×10? ± 1×10? | 3.38×10? ± 7×10? | 4.38×10? ± 3×10? | 6.84×10? ± 1×10? | 8.72×10? ± 2×10? |
| 有機物 (g/m3) | 168±13 | 239±7 | 254±13 | 261±19 | 306±16 |
| Chl-a (mg/m3) | 2906±96 | 3364±223 | 3404±118 | 4166±265 | 5694±221 |
| Chl-b (mg/m3) | 270±68 | 559±134 | 513±93 | 834±57 | 936±45 |
| Chl-a:Chl-b | 10.8 | 6.0 | 6.6 | 4.9 | 6.1 |
| 實驗2 | |||||
| 生物體積 (μm3/mL) | 1.67×10? ± 7×10? | 2.51×10? ± 8×10? | 3.09×10? ± 3×10? | 3.25×10? ± 5×10? | 3.41×10? ± 6×10? |
| 有機物 (g/m3) | 227±5 | 270±5 | 276±6 | 265±4 | 293±12 |
| Chl-a (mg/m3) | 4332±176 | 4251±145 | 4381±230 | 4693±276 | 5118±290 |
| Chl-b (mg/m3) | 381±19 | 586±43 | 572±37 | 608±27 | 639±28 |
| Chl-a:Chl-b | 11.4 | 7.3 | 7.6 | 7.7 | 8.0 |
以M. bornhemisense為主的培養體系,其總體積增幅相對于對照組從61%(pH 8)到85%(pH 6.5)不等。在pH 8和pH 7.5條件下維持的HRAMs總體積顯著高于對照組(p<0.01),但兩者之間無顯著差異。而pH 7和pH 6.5條件下維持的HRAMs微藻體積顯著高于其他所有處理組(p<0.01),但這兩個pH條件之間也無差異(表2)。在第二次實驗中,以P. boryanum/D. opoliensis為主的培養體系總體積相對于對照組的增幅從33%(pH 8)到51%(pH 6.5)不等。所有處理組的總體積均顯著高于對照組(p<0.01),但pH 8條件下維持的HRAMs微藻體積顯著低于pH 7和pH 6.5條件(分別為p<0.05和p<0.01)(表2)。兩次實驗中,DIC/pH梯度上的總體積與總懸浮固體僅呈弱正相關(實驗1中R2=0.465,實驗2中R2=0.317;)。
圖4 - a) 博赫米微芒藻、b) 博里盤星藻及c) 奧泊麗絲盤藻在溶解性無機碳濃度梯度下的生物量分布
隨著DIC供應量的增加和pH值從pH>9降至pH 7,M. bornhemisense單個菌落的生物體積顯著增加,而pH 6.5處理組的生物體積與對照組無顯著差異(圖4a)。對照組中72%的單個菌落生物體積介于2500至5000μm3之間,而pH 8條件下67%的菌落、pH 7.5條件下87%的菌落以及pH 7條件下80%的菌落,其生物體積顯著大于2500-5000μm3的尺寸等級(p<0.05)(圖4a)。pH 6.5條件下菌落的生物體積尺寸等級與對照組無顯著差異(圖4a)。第二次實驗中的M. pusillum菌落也顯示出類似的趨勢,即隨著CO2的添加,生物體積增加,但pH 6.5 HRAMs除外。對于P. boryanum,對照組與各處理組之間單個菌落的生物體積無顯著差異(圖4b)。第一次實驗中的P. duplex菌落也無顯著差異。D. opoliensis單個菌落的生物體積隨著CO2的添加而增加。對照組中84%的單個菌落生物體積介于250至750μm3之間,而pH 8條件下50%的菌落、pH 7.5條件下59%的菌落以及pH 7條件下49%的菌落,其生物體積顯著更大(p<0.05)(圖4c)。pH 6.5條件下菌落的生物體積與對照組無顯著差異(圖4c)。D. abundans也顯示出類似的趨勢,即隨著CO2添加量的增加(直至pH 7),生物體積增加。這主要是由于與對照組和pH 6.5相比,8細胞菌落的頻率增加,而4細胞菌落減少。Ankistrodesmus falcatus則表現出相反的趨勢,對照組和pH 6.5條件下的菌落生物體積顯著大于pH 8、pH 7.5和pH 7條件下的菌落。
3.3.有機物和葉綠素生物量
在實驗1中,相對于對照組,總有機物增加了33%(pH 8)至45%(pH 6.5)(所有處理組p<0.01;表2)。在CO?供應增加的情況下,各處理組之間的總有機物沒有顯著增加,直到HRAM中的DIC濃度>900 mg L?1(pH 6.5)。該處理組的有機物顯著高于(p<0.01)所有其他處理組和對照組(表2)。在實驗2中,相對于對照組,總有機物有顯著增加(p<0.01),范圍從15%(pH 8)到22%(pH 6.5)。與實驗1一樣,最高DIC濃度處理組的有機物顯著更高(p<0.01)——pH 7處理組的有機物顯著低于pH 7.5處理組,但與pH 8處理組無顯著差異(表2)。
葉綠素a濃度是微藻生物量的一個指標,在兩個實驗中,對照組與pH 8和7.5處理組之間沒有顯著差異(表2)。在pH 7時,葉綠素a濃度顯著高于(p<0.01)對照組、pH 8和pH 7.5處理組,而在pH 6.5時,兩個實驗中葉綠素a濃度均顯著高于(p<0.01)所有其他HRAMs(表2)。相比之下,在兩個實驗中,對照組的葉綠素b濃度顯著低于(p<0.01)所有處理組HRAMs(表2)。在兩個實驗中,pH 7和pH 6.5處理組的葉綠素b濃度顯著高于pH 8和pH 7.5處理組(表2)。在兩個實驗中,對照組的葉綠素a與葉綠素b的比率顯著高于(p<0.01)所有處理組(表2)。
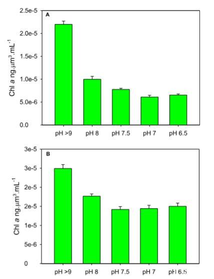
單位微藻生物體積的葉綠素a濃度隨著CO?的添加而降低。對于兩個實驗,在pH 8時,單位微藻生物體積的葉綠素a顯著低于(p<0.01)對照組(圖5a-b),而進一步添加CO?進一步降低了葉綠素a濃度,在pH 7.5、7和6.5培養的微藻顯著低于(p<0.01)在pH 8或對照條件下培養的微藻(圖5a-b)。在兩個實驗中,pH 7.5、7和6.5處理組之間,單位微藻生物體積的葉綠素a含量沒有顯著差異(圖5a-b)。
圖5- 在溶解無機碳梯度下,A) 以微球藻(Micractinium bornhemisense)為主的培養物和B) 以盤星藻(Pediastrum boryanum)/倒刺柵藻(Desmodesmus opoliensis)為主的培養物中,歸一化至微藻生物體積的葉綠素a(Chl-a)含量。
3.4.溶解營養鹽濃度和營養鹽去除效率
在兩個實驗中,對照組HRAMs中的NH?-N濃度顯著低于(p<0.01)任何處理組,但處理組之間沒有顯著差異(表3)。在兩個實驗中,pH 8和pH 7.5處理組的NO?-N濃度顯著高于(p<0.01)對照組或pH 7和pH 6.5處理組,后者彼此之間以及與初級進水相比沒有顯著差異(表3)。為了評估總溶解氮去除率,將NH?-N和NO?-N相加得到溶解無機氮濃度。在兩個實驗中,對照組HRAM中DIN的去除百分比顯著高于(p<0.01)任何處理組。在實驗1中,pH 6.5時的DIN去除百分比顯著高于(對于pH 7為p<0.05,對于pH 7.5和pH 8為p<0.01)任何其他處理組,而pH 7時的去除百分比顯著大于(p<0.05)pH 7.5和pH 8處理組,后兩者之間沒有顯著差異(表3)。在實驗2中,pH 6.5和pH 7時的DIN去除百分比顯著大于(p<0.05)pH 7.5和pH 8處理組(表3)。在兩個實驗中,對照組的DRP濃度顯著低于(P<0.05)處理組,處理組之間沒有顯著差異(表3)。相對于初級進水,DRP的去除百分比在對照組中顯著高于(P<0.05)處理組,在兩個實驗中處理組之間沒有顯著差異(表3)。
| 參數 | 初級進水 | Control (pH>9) | pH 8 | pH 7.5 | pH 7 | pH 6.5 |
|---|---|---|---|---|---|---|
| 實驗1 | ||||||
| NH?-N (g/m3) | 55.5±3.3 | 6.0±0.7 | 20.3±0.9 | 23.0±0.9 | 19.5±3.1 | 20.0±2.2 |
| NO?-N (g/m3) | 0.9±0.3 | 0.3±0.2 | 4.7±0.3 | 4.1±0.5 | 1.2±0.2 | 0.4±0.3 |
| DIN (g/m3) | 56.7±3.1 | 6.3±0.7 | 27.2±3.4 | 29.1±0.9 | 22.4±0.6 | 20.6±0.6 |
| % DIN 去除 | - | 89±1 | 52±6 | 48±2 | 60±1 | 60±1 |
| NRE-DIN | - | - | 2.15±0.25 | 2.01±0.06 | 2.03±0.04 | 1.86±0.02 |
| DRP (g/m3) | 4.7±0.3 | 3.5±0.2 | 3.9±0.5 | 4.1±0.2 | 4.1±0.1 | 4.3±0.5 |
| % DRP 去除 | - | 25±2 | 17±3 | 13±2 | 13±2 | 9±4 |
| NRE-DRP | - | - | 0.06±0.03 | 0.04±0.02 | 0.04±0.01 | 0.02±0.02 |
| 實驗2 | ||||||
| NH?-N (g/m3) | 33.1±4.6 | 3.1±0.3 | 10.7±1.2 | 10.3±2.2 | 10.6±1.8 | 10.4±2.5 |
| NO?-N (g/m3) | 0.8±0.1 | 0.2±0.1 | 4.4±0.6 | 3.8±0.8 | 1.0±0.3 | 0.6±0.1 |
| DIN (g/m3) | 34.6±4.5 | 4.1±0.3 | 15.9±0.6 | 14.9±1.7 | 12.4±1.3 | 11.7±1.3 |
| % DIN 去除 | - | 88±1 | 54±2 | 57±3 | 64±4 | 66±4 |
| NRE-DIN | - | - | 1.05±0.04 | 1.08±0.10 | 1.14±0.07 | 1.09±0.07 |
| DRP (g/m3) | 4.0±0.2 | 2.7±0.1 | 3.1±0.2 | 3.0±0.1 | 3.0±0.1 | 3.0±0.1 |
| % DRP 去除 | - | 33±2 | 23±2 | 28±3 | 28±1 | 25±2 |
| NRE-DRP | - | - | 0.07±0.01 | 0.05±0.01 | 0.06±0.01 | 0.06±0.003 |
由于對照組中溶解營養鹽的去除除了與微藻吸收有關外,還與物理化學過程有關(見下文討論),因此僅報告處理組的NRE(單位微藻生物量去除的營養鹽)。對于兩個實驗,處理組之間的NRE-DIN沒有顯著差異(表3)。同樣,在兩個實驗中,處理組之間的NRE-DRP也沒有顯著差異(表3)。
相關新聞