熱線:021-66110810,66110819
手機:13564362870

熱線:021-66110810,66110819
手機:13564362870
2結果與討論
2.1運行各階段除污效果
在室溫下,接種成熟的好氧顆粒污泥于缺氧/好氧兩級交替連續流系統中,并設定進水流量為2.45 L·h-1,設置理論交替循環次數為兩次,調節閥門測定管中流速,設置回流比為2,缺氧區有效容積為12 L,好氧區有效容積為20 L,故反應器的HRT為13 h,調至好氧區內曝氣量為1mL·min-1,好氧區內溶解氧保持在5mg·L-1左右,缺氧區內溶解氧在整個階段均保持在0.15 mg·L-1以下。
運行過程中NH4+-N、NO2--N、NO3--N、TN、TP和COD變化情況如圖2所示,接種后,由于顆粒污泥在接種之前是在進水COD/N為8∶1的連續流反應器中進行培養,人工配水水質成分單一,培養的好氧顆粒污泥抗沖擊性能較差,而且實際生活污水中有機物成分復雜且濃度波動大,所以前3 d的COD去除率在80%左右,污染物去除性能較差,但是這種水質的改變并沒有對好氧顆粒污泥造成太大影響,隨著污泥適應了實際生活污水水質的運行環境,連續流系統脫氮除磷能力上升,說明好氧顆粒污泥系統有著較強的適應水質變化的能力。
圖2運行過程中NH4+-N、NO2--N、NO3--N、TN、TP和COD變化情況
在實驗的第Ⅱ階段,將好氧區內曝氣量調為0.6mL·min-1而保持HRT不變,好氧區內此時溶解氧保持在3mg·L-1左右,結果表明,隨著DO的降低,COD的平均利用率升高7%,污染物去除能力升高,分析可能由于在DO差距較大的兩級反應器交替過程中抑制了異養菌的生長,并且較高DO在回流過程中可能一部分帶入缺氧環境,打破了部分缺氧環境導致異養菌活性降低。所以較高的DO并沒有提高系統的氮磷去除能力,反而削弱了系統的反硝化及釋磷能力。
隨著實驗的進一步運行和水力停留時間的縮短,有機負荷率增加,兩級連續流系統內呈現出明顯的COD濃度差,不僅提高了傳質動力,亦有效抑制了絲狀菌的過度生長,在44——64 d時,TP平均去除率為80.43%,TN平均去除率為83.6%,COD平均去除率為90.39%,此時連續流系統的脫氮除磷性能最好,說明在空間上形成的缺氧/好氧間歇運行方式使得脫氮除磷過程不只依賴于顆粒本身,在NO3--N回流至缺氧段時,連續進水的基質補充條件下使連續流系統有著較高的脫氮除磷效率。繼續縮短水力停留時間至6 h后,微生物吸收利用緩慢,異養菌與有機負荷接觸時間較短,COD利用率降低,污染物去除能力下降。
綜上連續流好氧顆粒污泥在較小的曝氣量(0.6mL·min-1)和合適的水力停留時間下(9 h)脫氮除磷性能最好,進水COD、TN和TP平均濃度分別為247.7、42.3和3.13mg·L-1,平均去除率分別為90.39%、83.6%和80.43%.
2.2污泥特性的變化
2.2.1污泥濃度及沉降性能的變化
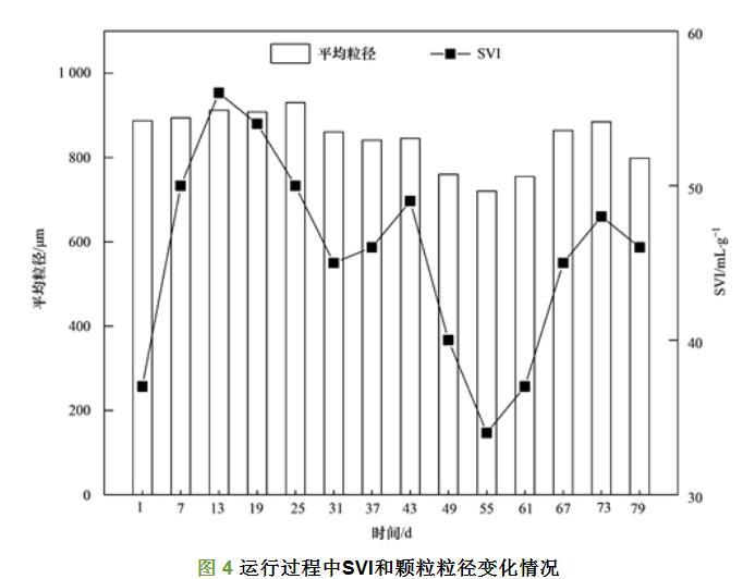
連續流系統中污泥濃度及沉降性能的變化如圖3和圖4所示。接種污泥后,反應器內MLSS為2950 mg·L-1,SVI為37 mL·g-1.本實驗過程中,每天從反應器中間位置取樣口取均質泥水混合樣品進行檢測分析。實驗開始后,進水水質由恒定不變的模擬生活污水到不穩定的實際生活污水不可避免地降低了好氧顆粒污泥的穩定性,在第6 d時MLSS下降到2500 mg·L-1左右,SVI上升至50 mL·g-1,在DO變低之后,可以看到部分顆粒解體,解體的顆粒在沉淀管的頂端排出系統,造成MLSS的繼續減小,但是由于兩級連續流中缺氧/好氧的交替環境促進顆粒密實,部分不太密實的顆粒解體之后又重新聚集成顆粒,所以看到DO的降低并沒有造成對連續流系統中污泥的破壞,縮短水力停留時間后,不可避免的造成了好氧顆粒污泥的流失,MLSS減少至1800 mg·L-1,但是系統的處理性能并沒有惡化,反而變好,在階段Ⅲ運行的第10 d左右,MLSS開始上升,最終穩定在2000 mg·L-1左右,f為0.92,顆粒較為密實,系統也在這一階段處理性能達到最好,說明連續流好氧顆粒污泥系統相對于SBR活性污泥系統污泥濃度較低。
圖3運行過程中MLSS和MLVSS變化情況
圖4運行過程中SVI和顆粒粒徑變化情況
2.2.2 EPS分析
EPS對好氧顆粒的形成和穩定起著至關重要的作用,EPS含量被認為是蛋白質和多糖的總和,不同階段下好氧顆粒污泥分泌的EPS含量(以SS計)如圖5,EPS在實驗前6 d由50.85 mg·g-1顯著升高至62.71 mg·g-1,這是由于微生物在接觸新環境時的自然反應是EPS升高的主要原因,特別是蛋白質含量,由45.17 mg·g-1升高至55.50 mg·g-1.降低曝氣量后,意味著水力剪切力變小,好氧顆粒污泥分泌部分EPS以維持顆粒的穩定性,這與He等的研究結果一致。降低水力停留時間后,EPS含量對SVI有顯著影響,EPS含量的增加導致SVI的下降。隨著EPS從58.16 mg·g-1增加到80.41 mg·g-1,SVI從49 mL·g-1顯著下降到40 mL·g-1,好氧顆粒變得光滑致密,較高的EPS含量可以加速好氧顆粒的形成,改善好氧顆粒的沉降性能,所以在曝氣量為0.6 mL·min-1,水力停留時間為9 h時,PN/PS值達到最高,導致顆粒污泥的疏水性增加,顆粒變得更加密實。這可能是由于兩級反應器中產生了基質濃度差,由于細菌的作用,在缺氧階段產生的EPS后來被消耗在好氧階段,并且PS更容易在低基質環境中被消耗,顆粒基質中留下了更多的PN,以維持其結構。
圖5運行過程中EPS變化情況
2.2.3三維熒光和平行因子分析
由于原始三維熒光圖譜中各組分熒光峰互相重疊,無法單獨研究單類物質熒光峰的變化特征,故利用平行因子分析方法進行分析。圖6是連續流好氧顆粒污泥在第1、31、49和79 d的EEM熒光光譜,表4為PARAFAC模型分析得到各階段具體的結果。根據文獻,將組分分別定義為色氨酸或類蛋白物質、可溶性微生物副產物、疏水性酸物質和腐殖酸這4類物質。
圖6運行過程中顆粒污泥三維熒光分析
表4 PARAFAC模型分析所得各階段組成成分
階段Ⅰ中分離出兩種腐殖酸物質,此時顆粒污泥剛接種于連續流反應器中,腐殖酸成分主要是脂肪族和芳香族的高聚物,含有羧基、酚基等帶負電官能團,有研究表明腐殖酸會影響污泥的絮凝力,不利于污泥顆粒化。表5為HIX和FI的值,階段Ⅰ的好氧顆粒污泥EPS的熒光值為1.221,是整個運行階段中FI的最低值,HIX的值較高對應較低的H/C比和更多的環結構,說明在進水基質為生活污水條件下好氧顆粒污泥的DOM來源于微生物的比例較高,并且腐化程度較高,經連續流系統處理后HIX值有所下降,FI值有所上升,說明其腐殖化程度降低、水中由微生物產生的物質增多。隨后曝氣強度由1.0 mL·min-1降至0.6mL·min-1后,組成成分仍然是色氨酸或類蛋白物質和腐殖酸兩類物質,顆粒污泥的EPS物質結構和組成變化較小,但熒光強度發生了變化,從1.221升高至1.352.這表明連續流系統好氧顆粒污泥EPS的組成成分受曝氣強度的影響較小。隨著HRT從13 h縮短至9 h,FI值從1.352增加到2.014,HIX值從0.847升高至0.936,分析此階段好氧顆粒污泥EPS的組成成分由2種增加至4種,出現了可溶性微生物副產物及疏水酸相關物質,水解和細胞裂解是將顆粒污泥轉化為溶解形式的兩個主要機制,所以這表明縮短HRT將可生物降解的蛋白質水解為小分子或者是出現了細胞的裂解。由此出現了可溶性微生物副產物及疏水酸相關物質,HIX值升高也因為污泥水解和破壞產生的蛋白質很可能轉化為腐殖質。雖然有部分細菌死亡但是根據上述研究表明此階段生物量增多,出水水質變好,說明合適的水力停留時間對微生物的生長代謝有促進作用,并淘洗掉了世代周期較長的細菌或活性受到了抑制,以此加速了生物量的生長。綜上所述水力停留時間會改變EPS的組成,水力停留時間相對于曝氣強度對連續流系統的EPS組成影響更大。
表5運行過程中HIX和FI值的變化情況
HRT和DO、曝氣強度、水力停留對好氧顆粒污泥連續流系統的影響(一)
HRT和DO、曝氣強度、水力停留對好氧顆粒污泥連續流系統的影響(二)
相關新聞