熱線:021-66110810,66110819
手機:13564362870

熱線:021-66110810,66110819
手機:13564362870
結果
地下水表征
2012年4月12日對ONK-PVA6和ONK-KR15地下水的地球化學進行了分析(表1)。所示的地下水參數比值表1表明,兩種試驗地下水類型僅在硫化合物含量上存在顯著差異;否則,大多數其他參數最多相差2倍,這主要歸因于ONK-KR15地下水的鹽度高于ONK-PVA6地下水。2012年1月11日和4月17日對ONK-KR15地下水中的溶解氣體成分進行了兩次分析,2012年9月18日對ONK-PVA6地下水進行了一次分析(表2)。與ONK-PVA6地下水相比,ONK-KR15中含有更多的溶解氣體,尤其是甲烷和氫氣。
有1.8×10 4個細胞mL-1和4.5×10 3 amol ATP mL-1 2012年1月11日采樣的OL-KR15的地下水中(表3)。NRB在MPN測定中占主導地位,只有NRB和MRB的MPN高于檢測限。有4.9×10 4個細胞mL-1和1.06×10 4 amol ATP mL-1 2012年4月17日采樣的OL-PVA6的地下水中(表3)。IRB和MRB主導MPN測定,NRB和SRB的MPN也高于檢測限。
FCCS中的TNC、VLP和ATP
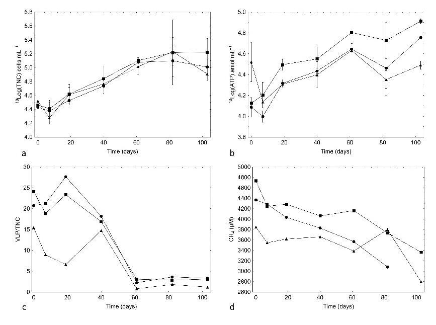
在細胞總數mL-1和ATP mL的量-1大部分實驗時間內,FCCS之間的沒有顯著差異,但在所有三個系統中都有增加的趨勢(圖2a和b)。類似地,的ATP g量-1僅在硫酸鹽+ONK-PVA6 FCCS中,巖石顆粒隨時間顯著不同(表4)。VLPs的數量在所有FCCS中大致恒定,每個細胞的VLPs數量在對照和硫酸鹽FCCS中最高,而這個數量在硫酸鹽+ONK-PVA6 FCCS中較低(圖2c)。在剩余的實驗時間內,每個細胞的VLP數量在大約40天后從平均20個顯著減少到平均2-3個。每個細胞VLP的這種減少與TNC和ATP濃度的增加有關。噬菌體的裂解活性似乎隨著時間的推移而降低,為增加未附著的生物量留出了空間。
表4.來自FC 2(巖石顆粒上的ATP n=3)和FC 4(n每個流動池循環系統中=3)的量
圖2.(a)細胞總數(TNC),(b)ATP濃度,(c)每細胞總數(TNC)中病毒樣顆粒(VLP)的數量,以及(d)溶解甲烷的濃度在通過三個流通池柜循環的地下水中,補充有500 mL ONK-KR15地下水(?)、500 mL ONK-KR15地下水和1 mM NaSO 4(?),以及500 mL ONK-PVA6地下水和1 mM NaSO 4(?)。條形表示±1標準偏差;n=3 in(a)–(b)。
FCCS中培養的微生物和有機酸
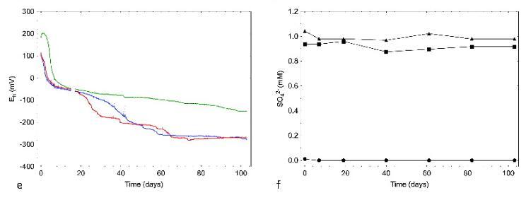
SRB的MPN增加到大約10 4個細胞mL-1在兩種硫酸鹽修正的FCCS中都并且中接近檢測極限(即,0.2個細胞mL-1在缺乏硫酸鹽的對照FCCS)(圖3a)。NRB的MPN在硫酸鹽+ONK-PVA6 FCCS中40天后最高(圖3b)。在實驗開始和結束時,所有三個FCCS都具有相似的NRB MPN。IRB的MPN隨時間變化,在硫酸鹽+ONK-PVA6 FCCS中最高(圖3c)。同樣,在所有FCCS的整個實驗過程中,CHAB的數量大致相似,平均約為5×10 4細胞mL-1(圖3d)。AA的MPN在對照系統中處于檢測極限,增加至最多1-10 AA mL-1在硫酸鹽修正系統中,并且在任何FCCS中均未產生乙酸鹽。在所有FCCS的所有采樣場合,HM的MPN均低于檢測限。乙酸鹽和DOC的濃度相對于采樣時間0的起始值沒有變化,分別為18μM乙酸鹽和0.25μM DOC。
圖3.(a)硫酸鹽還原菌(SRB)的最可能數(MPN),(b)硝酸鹽還原菌(NRB)的MPN,(c)鐵還原菌(IRB)的MPN,(d))可培養的異養需氧菌(CHAB),(e)E h使用內部電極對測量的:四個電極信號的平均值(e中的藍線),在硫酸鹽流通池循環系統(FCCS)中(e中的紅線),和在硫酸鹽+ONK-PVA6 FCCS中(e中的綠線),以及(f)通過三個FCCS循環的地下水中的硫酸鹽濃度,并輔以500 mL ONK-KR15地下水(?)、500 mL ONK-KR15地下水和1 mM NaSO 4(?),以及500 mL ONK-PVA6地下水和1 mM NaSO 4(?)。
FCCS中的化學
甲烷濃度相對于起始值降低了大約15%(圖2d)。硫酸鹽+ONK-PVA6 FCCS中的甲烷較少,因為添加的ONK-PVA6地下水比ONK-KR15地下水含有更少的甲烷(表2)。pH在所有FCCS中以大致相同的速度下降,在103天后從大約8.2的起始值下降到大約7.5。的E h正如內部微電極所記錄的那樣,對照和硫酸鹽FCCS在70天后下降到大約-250 mV的穩定水平(圖3e)。的E h到實驗結束時,硫酸鹽+ONK-PVA6 FCCS緩慢下降至大約-100 mV。添加硫酸鹽導致硫酸鹽FCCS中的硫酸鹽為1 mM,而硫酸鹽+ONK-PVA6 FCCS中的濃度略高;這種差異是由于添加的ONK-PVA6地下水中的高硫酸鹽濃度(1.9 mM)(圖3f)。硫酸鹽濃度在實驗時間內沒有變化,并且低于對照FCCS中的檢測值。在所有采樣情況下,所有FCCS中的硫化物濃度均低于檢測值。在所有FCCS中,亞鐵濃度增加到大約20μM。
MPN培養物的克隆和16S rDNA測序
從第82天和第103天接種的陽性NRB和SRB培養物的最高稀釋液中提取的DNA被克隆和測序(表5)。序列數據揭示了來自研究的MPN培養物的總共八個克隆分類群。發現的序列代表了Deltaproteobacteria、Alphaproteobacteria和Gammaproteobacteria phyla。優勢種屬是Desulfovibrio aespoeensis和Pseudomonas stutzeri,分別有41和14個克隆觀察結果;這些克隆與NCBI GenBank中的數據庫記錄有99.9-100%的相似性。
表5.在第82天和第103天從硫酸鹽和硫酸鹽+ONK-PVA6流通池循環系統采樣的SRB和NRB MPN培養物克隆中檢測到的分類群
地下水和生物膜提取中的DNA回收
提取的DNA總量為26至243×10-9 g(表6)。平均量的DNA的在一個典型的地下水細菌,例如,D.aespoeensis(Motamedi和Pedersen 1998),是649個道爾頓/堿基對×3629109個堿基(軌跡CP002431)=2.36×10 9道爾頓細胞-1=2.36×10 9道爾頓細胞-1×1.6605402×10-24 g道爾頓-1=3.9×10-15 g DNA細胞-1。從ONK-KR15中過濾了大約57 L的地下水,DNA回收率為63×10-9 g DNA(表6),這對應于1.62×10 7基于的DNA估計的平均大小的細胞D.aespoeensis。在有1.8×10 4個細胞mL-1過濾開始時,ONK-KR15地下水中(表3)。
表6.使用帶有MXPro軟件的Stratagene MX3005p熒光計和Molecular Probes的Quant-it Picogreen試劑盒進行熒光分析的提取雙鏈DNA的量;在地下水和生物膜序列庫中觀察和估計的總OTU水平(>0%序列豐度)的多樣性
計算出的平均DNA回收率變為1.6%。以同樣的方式計算,ONK-PVA6地下水的DNA回收率為9.2%。在含水層排水過程中,深層地下水中的細胞數量趨于減少;如果發生這種情況,DNA回收率會更高,因為過濾過程中TNC的減少會增加觀察到的DNA量,超過過濾器上捕獲的細胞總數。對生物膜使用相同的公式表明大約有2×10 6個細胞(g巖石顆粒)-1,這比ATP分析表明的多,即大約5×10 5個細胞(g巖石顆粒)-1,假設平均0.4 AMOL每個細胞ATP(Eydal和Pedersen 2007)。無法確定ATP是否低估了生物量,或者游離dsDNA是否被噬菌體裂解的細胞或死吸附細胞吸附在巖石上。考慮到這些計算的輸入數據具有相對較大的不確定性,三種不同的測定,即DNA、TNC和ATP,相當一致。
地下水16S rDNA v6v4序列多樣性
除了11個Desulfosporosinus讀數(=0.06%)外,ONK-KR15地下水的序列庫中不存在與SRB相關的序列(表7)。在18134個讀數中甚至沒有發現其他SRB OTU的單例。稀少曲線表明每個樣品捕獲了90-95%的16S rDNA多樣性。這一觀察結果與可培養SRB的缺乏非常吻合(表3)。顯性序列與氧化屬密切相關氫Hydrogenophaga(30.3%)(Willems et al.1989)其次是假單胞菌-(8.8%)和硫桿菌-(8.6%)相關序列(圖4)。
表7.來自生物膜和地下水的序列庫中硫酸鹽還原類群(Deltaproteobacteria和Firmicutes)的出現率≥0.1%,并觀察到庫中的主要OTU及其在GenBank核酸數據庫中報告的樣本位點
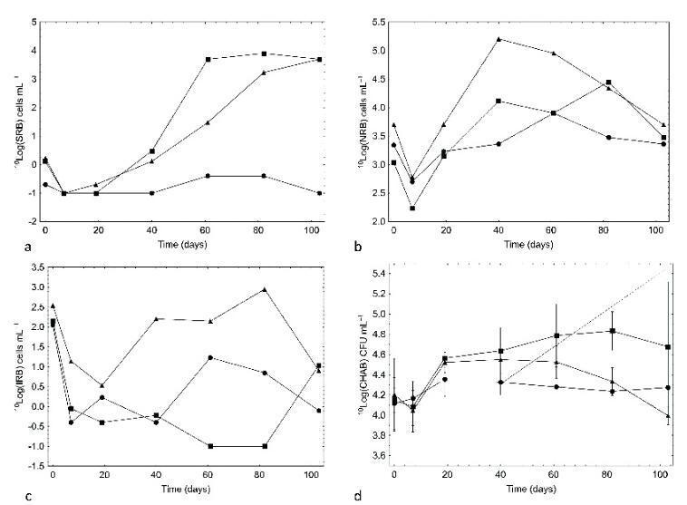
圖4.ONKALO地下水和FCCS生物膜樣品的v4v6熱標簽測序文庫的組成。顯示了頻率豐度≥1%的序列。酒吧名稱:KR15=ONK-KR15地下水采樣于2012年4月17日;bf 0=第0天的生物膜;bf C=第103天的對照生物膜;bf S=第103天的硫酸鹽生物膜;bf S 6=第103天的硫酸鹽+ONK-PVA6生物膜;PVA6=2012年4月17日采樣的ONK-PVA6地下水。不適用:未注釋。條形圖上方的樹描繪了Morisita-Horn距離度量,該度量使用具有算術平均值(UPGMA)的未加權對組方法構建,并具有物種級別的分類深度。比例尺代表5%的核苷酸取代。
古細菌由與Euryarchaeota和Thermoplasmata(3.5%)相關的序列代表,后者序列先前已在南非深部金礦的樣本中描述過(Gihring等人2006)。與來自ONK-KR15地下水的序列庫不同,來自ONK-PVA6地下水的序列庫以454個與SRB屬或科相關的序列為主以Desulfobacula(33.3%)和Desulfobulbaceae,分別(23.2%)為代表(圖4)。ONK-KR15的三個最豐富的序列也在一定程度上在ONK-PVA6序列庫中被發現。ONK-PVA6和ONK-KR15序列庫中相似序列的發生率是合理的,因為水文模型表明含有SRB的中等深度、富含硫酸鹽的地下水向下滲透并與含水層區域的深層、貧硫酸鹽地下水混合ONK-PVA6所連接的(Aalto et al.2011)。
生物膜16S rDNA v6v4序列多樣性
在生物膜樣品中觀察到明顯的系統發育相似性,并且每個FCCS處理的多樣性特征表明相對于第0天的生物膜多樣性在103 d內幾乎沒有變化(圖4)。在ONK-KR15地下水中發現的許多OTU也在FC生物膜中發現。然而,一些屬似乎更喜歡浮游狀態,因為它們在生物膜中沒有被發現或以非常低的頻率被發現。與Fusibacter、Thermoplasmata和Nitrospira在生物膜序列庫中未發現OTU相關的序列。其他的,如Brevundimonas水庫OTU,在生物膜中的含量是地下中的10倍。
否則,在地下水中發現的大多數OTU在所有生物膜樣本中也以通常可比較的頻率豐度順序表示。的Hydrogenophaga,Lutibacter,和假單胞菌屬的OTU一起構成大部分的序列讀數在>50%的序列豐度所有生物膜樣品中和構成的序列的45%ONK-KR15地下水讀取。生物膜多樣性似乎構成了地下水多樣性的良好預測指標,反之亦然。
SRB在硫酸鹽修正的FCCS中的MPN為5000個細胞mL-1在第103天(圖3a),通過克隆表明為D.aespoeensis(表5),而對照低于檢測值(<0.2個細胞mL-1)。序列數據與此一致,只有11個與相關的讀數脫硫球莖在第103天,控制生物膜文庫中,而硫酸鹽生物膜文庫共有218個與SRB相關的讀數,其中168個(0.81%)與SRB相關。D.aespoeensis。硫酸鹽+ONKPVA6生物膜文庫同樣包含與SRB相關的211個讀數,其中43個與D.aespoeensis相關,22個與Desulfobacula OTU相關。中給出了SRB頻率豐度的詳細信息表7。
在硫酸鹽和甲烷梯度相反的情況下,地下微生物群落的多樣性受硫酸鹽控制——摘要、介紹
在硫酸鹽和甲烷梯度相反的情況下,地下微生物群落的多樣性受硫酸鹽控制——材料和方法
相關新聞